| 查看: 702 | 回复: 1 | ||
[求助]
各位数学达人,请问下这两个函数是什么意思?
|
|
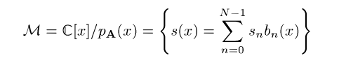
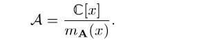
好像是抽象代数里的内容,不过因为不是学数学的,半天也没找到对应的,希望各位顺便,还有一个一段话也不太理解,也请大家帮我看看: 函数L2(Z/NZ)的N维向量空间(f:Z/NZ——>C)是一个线性空间。 请问Z/NZ表示什么意思啊? 捕获2.PNG 捕获1.PNG |
» 猜你喜欢
什么是人一生最重要的?
已经有7人回复
版面费该交吗
已经有17人回复
体制内长辈说体制内绝大部分一辈子在底层,如同你们一样大部分普通教师忙且收入低
已经有19人回复
【博士招生】太原理工大学2026化工博士
已经有8人回复
280求调剂
已经有4人回复
面上可以超过30页吧?
已经有12人回复
为什么中国大学工科教授们水了那么多所谓的顶会顶刊,但还是做不出宇树机器人?
已经有11人回复
网上报道青年教师午睡中猝死、熬夜猝死的越来越多,主要哪些原因引起的?
已经有9人回复
» 本主题相关价值贴推荐,对您同样有帮助:
请数学达人给解答一下这个公式,拜谢!
已经有6人回复
请教达人求一个函数的极值表达式
已经有16人回复

188052897
银虫 (小有名气)
- 应助: 17 (小学生)
- 金币: 331.4
- 散金: 10
- 帖子: 52
- 在线: 37.2小时
- 虫号: 2201547
- 注册: 2012-12-23
- 专业: 偏微分方程
2楼2013-05-12 18:35:38













回复此楼