²é¿´: 599  |  »Ø¸´: 4

yaoxy

Òø³æ (ÕýʽдÊÖ)

[½»Á÷] ÇóÖú£º½â΢·Ö·½³Ì ÒÑÓÐ2È˲ÎÓë

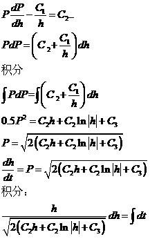
Èçͼ£¬¸Ã·½³ÌÔõô½â°¡£¿Ð»Ð»

δÃüÃû.jpg
»Ø¸´´ËÂ¥

» ²ÂÄãϲ»¶

» ±¾Ö÷ÌâÏà¹Ø¼ÛÖµÌùÍÆ¼ö£¬¶ÔÄúͬÑùÓаïÖú:

ÒÑÔÄ   »Ø¸´´ËÂ¥   ¹Ø×¢TA ¸øTA·¢ÏûÏ¢ ËÍTAºì»¨ TAµÄ»ØÌû

onesupeng

½ð³æ (Ö°Òµ×÷¼Ò)

¡ï
Сľ³æ: ½ð±Ò+0.5, ¸ø¸öºì°ü£¬Ð»Ð»»ØÌû
Õâ¸öºÜÄѽâµÄ°É¡£¡£¡£Â¥Ö÷Õâ¸ö·½³ÌʲôÎÊÌâÌá³öÀ´µÄ¡£¡£¡£

Èç¹û·ÖÎöÎȶ¨ÐÔ¡¢·ÇÏßÐÔÌØÐÔ£¬µ¹ÊÇ¿ÉÒÔÏÂÊÖ¡£¡£¡£¡£ÊýÖµ½âÒ²¿ÉÒÔ¡£¡£¡£
³¤ÆÚÕÐÊÕ²©Ê¿Éú£¬²Î¼ûhttp://fsl-unsw.com
2Â¥2013-04-19 08:42:30
ÒÑÔÄ   »Ø¸´´ËÂ¥   ¹Ø×¢TA ¸øTA·¢ÏûÏ¢ ËÍTAºì»¨ TAµÄ»ØÌû

yaoxy

Òø³æ (ÕýʽдÊÖ)

ÒýÓûØÌû:
2Â¥: Originally posted by onesupeng at 2013-04-19 08:42:30
Õâ¸öºÜÄѽâµÄ°É¡£¡£¡£Â¥Ö÷Õâ¸ö·½³ÌʲôÎÊÌâÌá³öÀ´µÄ¡£¡£¡£

Èç¹û·ÖÎöÎȶ¨ÐÔ¡¢·ÇÏßÐÔÌØÐÔ£¬µ¹ÊÇ¿ÉÒÔÏÂÊÖ¡£¡£¡£¡£ÊýÖµ½âÒ²¿ÉÒÔ¡£¡£¡£

лл¹þ
²»¹ýÈç¹ûÊÇ·ÖÎöÎȶ¨ÐÔ»ò·ÇÏßÐÔÌØÐÔÓÖÔõô·ÖÎöÄØ£¿
3Â¥2013-04-19 09:12:48
ÒÑÔÄ   »Ø¸´´ËÂ¥   ¹Ø×¢TA ¸øTA·¢ÏûÏ¢ ËÍTAºì»¨ TAµÄ»ØÌû

vect

ÖÁ×ðľ³æ (ÖøÃûдÊÖ)

¡ï
Сľ³æ: ½ð±Ò+0.5, ¸ø¸öºì°ü£¬Ð»Ð»»ØÌû
Õâ¸öÊDz»ÏÔº¬×Ô±äÁ¿µÄ·½³Ì£¬ÊÇÈýÖֿɽµ½×µÄ·½³ÌÖ®Ò»£¬¿ÉÒÔ»»Ôª»¯³ÉÒ»½×µÄ
4Â¥2013-04-19 09:37:58
ÒÑÔÄ   »Ø¸´´ËÂ¥   ¹Ø×¢TA ¸øTA·¢ÏûÏ¢ ËÍTAºì»¨ TAµÄ»ØÌû

yaoxy

Òø³æ (ÕýʽдÊÖ)

ÒýÓûØÌû:
4Â¥: Originally posted by vect at 2013-04-19 09:37:58
Õâ¸öÊDz»ÏÔº¬×Ô±äÁ¿µÄ·½³Ì£¬ÊÇÈýÖֿɽµ½×µÄ·½³ÌÖ®Ò»£¬¿ÉÒÔ»»Ôª»¯³ÉÒ»½×µÄ

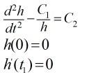
½µ½×ºó×îÖÕ»¹ÊÇûÇó³öÀ´½á¹û¡£
µ½×îºóÒ»²½ÁË£¬²»ÖªµÀÔõôÇó»ý·Ö

δÃüÃû.jpg

5Â¥2013-04-19 10:30:06
ÒÑÔÄ   »Ø¸´´ËÂ¥   ¹Ø×¢TA ¸øTA·¢ÏûÏ¢ ËÍTAºì»¨ TAµÄ»ØÌû
Ïà¹Ø°æ¿éÌø×ª ÎÒÒª¶©ÔÄÂ¥Ö÷ yaoxy µÄÖ÷Ìâ¸üÐÂ
×î¾ßÈËÆøÈÈÌûÍÆ¼ö [²é¿´È«²¿] ×÷Õß »Ø/¿´ ×îºó·¢±í
[¿¼ÑÐ] 351Çóµ÷¼Á +3 Âó¿Ë°¢ÀÚ 2026-03-24 3/150 2026-03-26 23:13 by ²»³Ôô~µÄ؈
[¿¼ÑÐ] 333Çóµ÷¼Á +7 87639 2026-03-21 12/600 2026-03-26 22:08 by ²»³Ôô~µÄ؈
[¿¼ÑÐ] 294·Ö080500²ÄÁÏ¿ÆÑ§Ó빤³ÌÇóµ÷¼Á +4 ÁøÏª±ß 2026-03-26 4/200 2026-03-26 21:14 by XPUÀîÇì
[¿¼ÑÐ] 324Çóµ÷¼Á +3 hanamiko 2026-03-26 3/150 2026-03-26 21:00 by sanrepian
[¿¼ÑÐ] 291Çóµ÷¼Á +9 hhhhxn.. 2026-03-23 9/450 2026-03-26 18:59 by ²»³Ôô~µÄ؈
[¿¼ÑÐ] 279Çóµ÷¼Á +6 ºìÒÂÒþ¹Ù 2026-03-21 6/300 2026-03-26 18:32 by ²»³Ôô~µÄ؈
[¿¼ÑÐ] ²ÄÁÏÓ뻯¹¤¿¼Ñе÷¼Á +10 ‹üÈA 2026-03-22 10/500 2026-03-26 15:40 by zzll406
[¿¼ÑÐ] 299Çóµ÷¼Á +7 ijijijijλ 2026-03-21 8/400 2026-03-25 20:34 by ÈÈÇéɳĮ
[¿¼ÑÐ] 321Çóµ÷¼Á +3 è±Óñ~~ 2026-03-25 3/150 2026-03-25 19:07 by Zhanglab-TJU
[¿¼ÑÐ] ¿¼ÑÐÒ»Ö¾Ô¸ËÕÖÝ´óѧ³õʼ315£¨Ó¢Ò»£©Çóµ÷¼Á +3 sbdksD 2026-03-24 4/200 2026-03-25 18:16 by xcjcqu
[¿¼ÑÐ] 359Çóµ÷¼Á +3 ÍõÁ˸öéª 2026-03-25 3/150 2026-03-25 12:50 by Dyhoer
[¿¼ÑÐ] ²ÄÁϵ÷¼Á +3 iwinso 2026-03-23 3/150 2026-03-25 11:29 by greychen00
[¿¼ÑÐ] 085600²ÄÁÏÓ뻯¹¤µ÷¼Á +9 A-¶ßÀ²ZÃÎ 2026-03-23 15/750 2026-03-25 11:18 by Ainin_
[¿¼ÑÐ] 289²ÄÁÏÓ뻯¹¤£¨085600£©BÇøÇóµ÷¼Á +4 ÕâôÃû×ÖÕ¦Ñù 2026-03-22 5/250 2026-03-25 08:20 by mx.yue
[¿¼ÑÐ] 311Çóµ÷¼Á +3 ¶¬Ê®Èý 2026-03-24 3/150 2026-03-24 21:31 by peike
[¿¼ÑÐ] 300·Ö£¬²ÄÁÏ£¬Çóµ÷¼Á£¬Ó¢Ò»Êý¶þ +5 ³¬ÔÞµÄ 2026-03-24 5/250 2026-03-24 21:07 by ÐÇ¿ÕÐÇÔÂ
[¿¼ÑÐ] 0703»¯Ñ§µ÷¼Á£¬Çóµ¼Ê¦ÊÕ +7 ÌìÌìºÃÔËÀ´Éϰ¶° 2026-03-24 7/350 2026-03-24 20:26 by peike
[ÂÛÎÄͶ¸å] ¼±·¢ºËÐÄÆÚ¿¯ÂÛÎÄ +3 ÏÍ´ïÎʽò 2026-03-23 5/250 2026-03-23 17:13 by ÃÃ×Ó²»ºÃÈÇ
[¿¼ÑÐ] ³õÊÔ 317 +7 °ëÀ­Ô±û 2026-03-20 7/350 2026-03-21 22:26 by peike
[¿¼ÑÐ] Ò»Ö¾Ô¸Î÷°²½»Í¨´óѧ ѧ˶ 354Çóµ÷¼Á211»òÕß˫һÁ÷ +3 ÎÒÏëÒª¶ÁÑо¿Éú 2026-03-20 3/150 2026-03-20 20:13 by JourneyLucky
ÐÅÏ¢Ìáʾ
ÇëÌî´¦ÀíÒâ¼û