°æ¿éµ¼º½
ÕýÔÚ¼ÓÔØÖÐ...
¿Í»§¶ËAPPÏÂÔØ
ÂÛÎĸ¨µ¼
µ÷¼ÁС³ÌÐò
怬
×¢²á
Ìû×Ó
Ìû×Ó
Óû§
±¾°æ
Ó¦¡¶ÍøÂ簲ȫ·¨¡·ÒªÇó£¬×Ô2017Äê10ÔÂ1ÈÕÆð£¬Î´½øÐÐʵÃûÈÏÖ¤½«²»µÃʹÓû¥ÁªÍø¸úÌû·þÎñ¡£Îª±£ÕÏÄúµÄÕʺÅÄܹ»Õý³£Ê¹Óã¬Ç뾡¿ì¶ÔÕʺŽøÐÐÊÖ»úºÅÑéÖ¤£¬¸ÐлÄúµÄÀí½âÓëÖ§³Ö£¡
24СʱÈÈÃŰæ¿éÅÅÐаñ
>
ÂÛ̳¸üÐÂÈÕÖ¾
(4018)
>
³æÓÑ»¥Ê¶
(1011)
>
¿¼ÑÐ
(925)
>
µ¼Ê¦ÕÐÉú
(656)
>
ÎÄÏ×ÇóÖú
(100)
>
˶²©¼ÒÔ°
(70)
>
¿¼²©
(42)
>
²©ºóÖ®¼Ò
(37)
>
ÐÝÏйàË®
(33)
>
»ù½ðÉêÇë
(27)
>
ÂÛÎÄͶ¸å
(27)
>
½Ìʦ֮¼Ò
(20)
>
ÕÒ¹¤×÷
(16)
>
ÂÌÉ«ÇóÖú(¸ßÐüÉÍ)
(15)
>
Êýѧ
(14)
>
¹«Åɳö¹ú
(13)
Сľ³æÂÛ̳-ѧÊõ¿ÆÑл¥¶¯Æ½Ì¨
»
²ÄÁÏÇø
»
ÉúÎï²ÄÁÏ
»
×ÛºÏÆäËû
»
ÇëÎÊÒ¶Ëá°ÐÏò»îÐÔ»ùÍÅÊÇ Á½¸öCOOHÖеÄÒ»¸ö »¹ÊÇNH2
11
2/2
·µ»ØÁбí
ÉÏÒ»Ò³
1
2
²é¿´: 1856 | »Ø¸´: 10
Ö»¿´Â¥Ö÷
@ËûÈË
´æµµ
лظ´ÌáÐÑ
(ºöÂÔ)
ÊÕ²Ø
ÔÚAPPÖв鿴
éªéª90
гæ
(³õÈëÎÄ̳)
Ó¦Öú: 0
(Ó×¶ùÔ°)
½ð±Ò: 1.5
Ìû×Ó: 4
ÔÚÏß: 3.8Сʱ
³æºÅ: 2057620
×¢²á: 2012-10-13
רҵ: Ò©Îï²ÄÁÏ
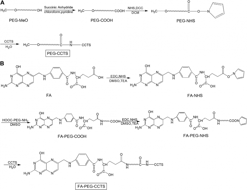
A pH-sensitive gene delivery system based on folic
acid-PEG-chitosan e PAMAM-plasmid DNA complexes for
cancer cell targeting£¬Biomaterials, 2013.
ÓõÄÊÇÒ¶ËáµÄôÈ»ù²ÎÓë·´Ó¦µÄ¡£
1.png
2.png
ÔÞ
Ò»ÏÂ
»Ø¸´´ËÂ¥
°®Æ´²Å»áÓ®
11Â¥
2014-09-05 09:21:06
ÒÑÔÄ
¹Ø×¢TA
¸øTA·¢ÏûÏ¢
ËÍTAºì»¨
TAµÄ»ØÌû
Ïà¹Ø°æ¿éÌø×ª
²ÄÁÏ×ÛºÏ
²ÄÁϹ¤³Ì
΢Ã׺ÍÄÉÃ×
¾§Ìå
½ðÊô
ÎÞ»ú·Ç½ðÊô
ÉúÎï²ÄÁÏ
¹¦ÄܲÄÁÏ
¸´ºÏ²ÄÁÏ
ÎÒÒª¶©ÔÄÂ¥Ö÷
zhonglubin727
µÄÖ÷Ìâ¸üÐÂ
11
2/2
·µ»ØÁбí
ÉÏÒ»Ò³
1
2
×î¾ßÈËÆøÈÈÌûÍÆ¼ö
[²é¿´È«²¿]
×÷Õß
»Ø/¿´
×îºó·¢±í
[
¿¼ÑÐ
]
²ÄÁÏÏà¹Ø×¨Òµ344Çóµ÷¼ÁË«·Ç¹¤¿ÆÑ§Ð£»ò¿ÎÌâ×é
+7
hualkop
2026-04-12
7/350
2026-04-12 14:09
by
380984326
[
¿¼ÑÐ
]
Çóµ÷¼Á
+16
ÕÅ·¬ÇѲ»³´µ°
2026-04-10
17/850
2026-04-12 13:58
by
°¾Ò¹³É£¡
[
¿¼ÑÐ
]
һ־Ը˫·Ç085400µç×ÓÐÅÏ¢344 Çóµ÷¼Á£¬¶Ô²ÄÁϺͻ¯Ñ§·½ÏòÒ²¸ÐÐËȤ
+10
ÎÞÇéµÄСÑò
2026-04-09
11/550
2026-04-12 12:30
by
wp06
[
¿¼ÑÐ
]
ÉúÎïѧ308Çóµ÷¼Á
+4
ÏàÐűػá¹ââÍòÕ
2026-04-11
4/200
2026-04-12 11:48
by
babysonlkd
[
¿¼ÑÐ
]
Çóµ÷¼Á£¬Ò»Ö¾Ô¸²ÄÁÏ¿ÆÑ§Ó빤³Ì985£¬365·Ö£¬
+8
²Ä»¯Àî¿É
2026-04-11
10/500
2026-04-12 08:42
by
852137818
[
¿¼ÑÐ
]
»¯¹¤µ÷¼ÁÇóµ¼Ê¦ÊÕÁô£¡Ò»Ö¾Ô¸Ê§Àû£¬Ì¤Êµ¿Ï¸É£¬ÓÐÖ²ÎïÌáÈ¡¿ÆÑоÀú
+20
yzyzx
2026-04-09
21/1050
2026-04-12 00:12
by
ССССÀ²À²À²
[
¿¼ÑÐ
]
ũѧ0904 312Çóµ÷¼Á
+3
Say Never
2026-04-11
3/150
2026-04-11 17:22
by
daydayup2005
[
¿¼ÑÐ
]
Çóµ÷¼Á
+3
θ¾·ÂÎÀÛÁË
2026-04-11
5/250
2026-04-11 14:13
by
luhong1990
[
¿¼ÑÐ
]
275Çóµ÷¼Á
+9
1624447980
2026-04-08
10/500
2026-04-11 10:20
by
Delta2012
[
¿¼ÑÐ
]
080100Á¦Ñ§316Çóµ÷¼Á
+8
L_Hairui
2026-04-07
8/400
2026-04-11 10:00
by
zhq0425
[
¿¼ÑÐ
]
298Çóµ÷¼Á
+9
¶¤¶£ß˶¬¹Ï
2026-04-07
11/550
2026-04-11 09:35
by
zhq0425
[
¿¼ÑÐ
]
Ò»Ö¾Ô¸¾©Çø985£¬085401£¬Óë±¾¿Æ×¨ÒµÒ»Ö£¬µç×ÓÐÅÏ¢¹¤³Ì£¬
+4
Ñô¹â¿ªÀʵÄÄк¢
2026-04-10
4/200
2026-04-10 18:27
by
shenrf
[
¿¼ÑÐ
]
0702ÎïÀíѧѧ˶299Çóµ÷¼Á
+6
ÆîÆâÁ¬
2026-04-06
6/300
2026-04-10 11:10
by
Roomoo
[
¿¼ÑÐ
]
±¾¿ÆÎ÷¹¤´ó 0856 324Çóµ÷¼Á
+10
wysyjs25
2026-04-09
11/550
2026-04-10 08:37
by
5268321
[
¿¼ÑÐ
]
085400µç×ÓÐÅÏ¢Àࣨ´¨´ó¿ØÖƹ¤³Ì£©Çóµ÷¼Á¿É¿çרҵ ÇóÀÏʦÁªÏµ
+3
626776879
2026-04-08
3/150
2026-04-09 16:05
by
Öí»á·É
[
¿¼ÑÐ
]
»¯Ñ§¹¤³ÌÓë¼¼Êõרҵһ־Ը¹þ¹¤³Ì 291·ÖBÇø ¹ú¼Ò¼¶´ó´´¸ºÔðÈË ÓÐÒ»×÷ÂÛÎÄ
+13
Emmy~
2026-04-09
13/650
2026-04-09 14:47
by
onlyÖÜ
[
¿¼ÑÐ
]
ÍÁľˮÀûר˶276·ÖÇóµ÷¼Á
+6
ÎÒÏëÉÏѧ£¡£¡6
2026-04-05
9/450
2026-04-08 17:45
by
ËÎС±¦HQ
[
¿¼ÑÐ
]
Ò»Ö¾Ô¸»ª¶«Àí¹¤085601²ÄÁϹ¤³Ì303·ÖÇóµ÷¼Á
+15
a1708
2026-04-06
15/750
2026-04-08 16:23
by
luoyongfeng
[
¿¼ÑÐ
]
307Çóµ÷¼Á
+3
Youth@@
2026-04-07
3/150
2026-04-07 09:25
by
СºÚ²»ÅÂÄÑ
[
¿¼ÑÐ
]
ÉúÎïѧѧ˶Çóµ÷¼Á£º351·ÖÒ»Ö¾Ô¸ÄϾ©Ê¦·¶´óѧÉúÎïѧרҵ
+6
¡¡«¡¢Íõ¡¡«
2026-04-06
7/350
2026-04-06 18:54
by
macy2011
ÐÅÏ¢Ìáʾ
¹Ø±Õ
ÇëÌî´¦ÀíÒâ¼û
¹Ø±Õ
È·¶¨