| 查看: 1655 | 回复: 5 | ||
| 本帖产生 1 个 博学EPI ,点击这里进行查看 | ||
bearvsnike铁杆木虫 (小有名气)
|
[求助]
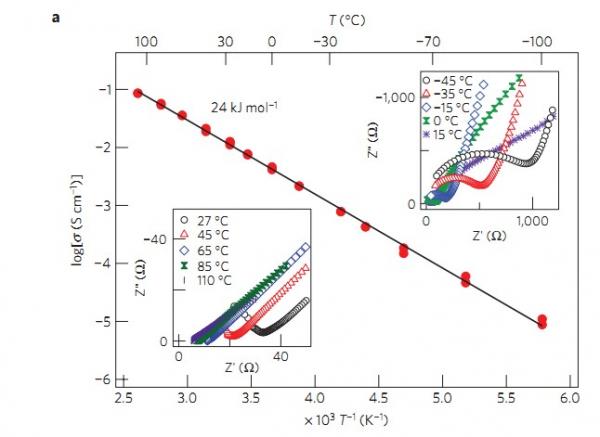
在温度-电导率图像中下面的X轴表示什么意思
|
|
![]() |
||
|
|
||
| 回帖置顶 ( 共有1个 ) | ||
slotsma金虫 (小有名气)
|
||
|
2楼2012-09-04 01:49:18
|
|
|
| 普通回帖 | ||
zyoypx
|
||
|
3楼2012-09-04 08:55:46
|
|
|
sylaryang金虫 (小有名气)
|
【答案】应助回帖
★ ★ ★ ★ ★ ★ ★ ★ ★ ★ ★ ★ ★ ★ ★ ★ ★ ★ ★ ★ ★ ★ ★ ★ ★ ★ ★ ★ ★ ★
bearvsnike: 金币+30, ★★★★★最佳答案, 谢谢您的回答,还有一点点不明白,请问您能带公式就这张图帮我计算一下吗?再追加20金币,谢谢。最近脑袋有点转不过来。不好意思啊。 2012-09-04 10:39:57
» 本帖已获得的红花(最新10朵) |
|
![]() |
||
|
4楼2012-09-04 09:27:23
|
|
|
bearvsnike铁杆木虫 (小有名气)
|
||
![]() |
||
|
5楼2012-09-04 10:44:27
|
|
|
sylaryang金虫 (小有名气)
|
||
![]() |
||
|
6楼2012-09-04 16:19:15
|
|
|














回复此楼

bearvsnike