°æ¿éµ¼º½
ÕýÔÚ¼ÓÔØÖÐ...
¿Í»§¶ËAPPÏÂÔØ
ÂÛÎĸ¨µ¼
µ÷¼ÁС³ÌÐò
怬
×¢²á
Ìû×Ó
Ìû×Ó
Óû§
±¾°æ
Ó¦¡¶ÍøÂ簲ȫ·¨¡·ÒªÇó£¬×Ô2017Äê10ÔÂ1ÈÕÆð£¬Î´½øÐÐʵÃûÈÏÖ¤½«²»µÃʹÓû¥ÁªÍø¸úÌû·þÎñ¡£Îª±£ÕÏÄúµÄÕʺÅÄܹ»Õý³£Ê¹Óã¬Ç뾡¿ì¶ÔÕʺŽøÐÐÊÖ»úºÅÑéÖ¤£¬¸ÐлÄúµÄÀí½âÓëÖ§³Ö£¡
24СʱÈÈÃŰæ¿éÅÅÐаñ
>
ÂÛ̳¸üÐÂÈÕÖ¾
(2903)
>
³æÓÑ»¥Ê¶
(270)
>
ÎÄÏ×ÇóÖú
(186)
>
µ¼Ê¦ÕÐÉú
(76)
>
¿¼²©
(59)
>
ÂÛÎÄͶ¸å
(48)
>
˶²©¼ÒÔ°
(44)
>
»ù½ðÉêÇë
(39)
>
¹«Åɳö¹ú
(36)
>
ÂÛÎĵÀºØÆí¸£
(34)
>
¿¼ÑÐ
(31)
>
²©ºóÖ®¼Ò
(30)
>
½Ìʦ֮¼Ò
(29)
>
ÐÝÏйàË®
(29)
>
¹¥¹ØÎÄÏ×(¸ß½±Àø)
(26)
>
ÕÒ¹¤×÷
(24)
Сľ³æÂÛ̳-ѧÊõ¿ÆÑл¥¶¯Æ½Ì¨
»
רҵѧ¿ÆÇø
»
ÎïÀí
»
ÀíÂÛÎïÀí&ÌìÎÄ
»
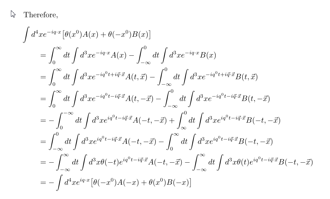
(ÐüÉÍ30½ð±Ò)Çë½ÌһСÎÊÌâ
19
1/2
·µ»ØÁбí
1
2
ÏÂÒ»Ò³
²é¿´: 833 | »Ø¸´: 18
Ö»¿´Â¥Ö÷
@ËûÈË
´æµµ
лظ´ÌáÐÑ
(ºöÂÔ)
ÊÕ²Ø
ÔÚAPPÖв鿴
cosmology
½ð³æ
(ÕýʽдÊÖ)
ÎïÀíEPI: 10
Ó¦Öú: 15
(СѧÉú)
½ð±Ò: 1411.3
ºì»¨: 1
Ìû×Ó: 418
ÔÚÏß: 48.6Сʱ
³æºÅ: 230145
×¢²á: 2006-03-26
ÐÔ±ð: GG
רҵ: »ù´¡ÎïÀíѧ
[
ÇóÖú
]
(ÐüÉÍ30½ð±Ò)Çë½ÌһСÎÊÌâ
¼ûͼ
»Ø¸´´ËÂ¥
» ²ÂÄãϲ»¶
±í¸çÓëÊ¡»áÅ®½á»é£¬¸¸Ä¸È¥°ï´øº¢×Ó±»Ê¡»áÅ®Æø»Ø¼ÒÉúÖØ²¡ÁË
ÒѾÓÐ12È˻ظ´
ÒÀÍÐÆóÒµÈëÑ¡Á˹ú¼ÒÆôÃ÷¼Æ»®ÇàÄêÈ˲š£ÓÐÎÞ¸ßУ¿ÉÒÔÒý½øµÄ¡£
ÒѾÓÐ14È˻ظ´
½ºº´óѧ½âÃ÷½ÌÊÚ¿ÎÌâ×éÕв©Ê¿Ñо¿Éú/²©Ê¿ºó
ÒѾÓÐ3È˻ظ´
AI Ì«¿ÉÅÂÁË£¬Ð´»ù½ðʱ£¬Ìá³öÏë·¨£¬Ö±½ÓÉú³ÉµÄÎÄ×Ö±È×Ô¼ºÏëµÃÉîÔ¶£¬»¹ÓпÆÑ§ÐÔ
ÒѾÓÐ11È˻ظ´
ͬÄêÉêÇë2ÏͬÏîÄ¿£¬µÚ1¸öÏîÄ¿ÀﲻдµÚ2¸öÏîÄ¿µÄÐÅÏ¢£¬¿ÉÒÔÂð
ÒѾÓÐ10È˻ظ´
ÒÀÍÐÆóÒµÈëÑ¡Á˹ú¼ÒÆôÃ÷¼Æ»®ÇàÄêÈ˲š£ÓÐÎÞ¸ßУ¿ÉÒÔÒý½øµÄ¡£
ÒѾÓÐ11È˻ظ´
» ±¾Ö÷ÌâÏà¹Ø¼ÛÖµÌùÍÆ¼ö£¬¶ÔÄúͬÑùÓаïÖú:
Çë½ÌÒ»¸ö³ÌÐòСÎÊÌ⣬лл
ÒѾÓÐ4È˻ظ´
Çë½ÌÒ»¸öfortranС³ÌÐò±àÒë³ö´íµÄÎÊÌ⣬лл
ÒѾÓÐ9È˻ظ´
Çë½Ì¹ØÓÚºÜϸСÎïÖʵĹ¤Òµ¹ýÂ˵ÄÎÊÌâ
ÒѾÓÐ33È˻ظ´
ÒºÏàÒÇÆ÷һЩССÎÊÌ⣬£¬ÌØÀ´Çë½Ì´ó¼ÒÒ»ÏÂŶ¡£¡£
ÒѾÓÐ10È˻ظ´
¹«Åɳö¹úµÂ¹úǩ֤һ¸öСÎÊÌâÇë½Ì
ÒѾÓÐ14È˻ظ´
ÎÄÕÂÐ޸ĺó£¬Éó¸åÈË×¥×ÅÒ»¸öСÎÊÌâ²»·Å£¬Çë½Ì¸÷λ
ÒѾÓÐ8È˻ظ´
Çë½Ì¸ö¼òµ¥µÄСÎÊÌâ
ÒѾÓÐ7È˻ظ´
¡¾ÇóÖú¡¿¹ØÓÚPMMAµÄ¼¸¸öСÎÊÌ⣬Çë½Ì¸÷λ¸ßÊÖ
ÒѾÓÐ25È˻ظ´
¡¾ÇóÖú¡¿Çë½ÌÒ»¸ö¹ØÓÚMathematicaÖмÆËãСÁ¿µÄÎÊÌâ
ÒѾÓÐ4È˻ظ´
¡¾Çë½Ì¡¿Ï¡ÍÁµÄMOFµÄÒ»µãСÎÊÌâ
ÒѾÓÐ9È˻ظ´
¡¾ÇóÖú¡¿Çë½ÌС¼«ÐÔÎïÖÊ·ÖÀëµÄÎÊÌâ
ÒѾÓÐ6È˻ظ´
1Â¥
2011-08-05 08:40:40
ÒÑÔÄ
»Ø¸´´ËÂ¥
¹Ø×¢TA
¸øTA·¢ÏûÏ¢
ËÍTAºì»¨
TAµÄ»ØÌû
Ëï?ª730
ÖÁ×ðľ³æ
(ÖªÃû×÷¼Ò)
ÎïÀíEPI: 7
Ó¦Öú: 537
(²©Ê¿)
¹ó±ö: 0.961
½ð±Ò: 22953.2
É¢½ð: 6464
ºì»¨: 177
ɳ·¢: 16
Ìû×Ó: 8217
ÔÚÏß: 2897.7Сʱ
³æºÅ: 490447
×¢²á: 2008-01-03
¡¾´ð°¸¡¿Ó¦Öú»ØÌû
cosmology(½ð±Ò+1): л 2011-08-05 10:12:39
¼òµ¥µÄ˵,¾ÍÊǰÑ(1)ÖеÄx,ÓÃ-x´úÌæ
ÔÞ
Ò»ÏÂ
»Ø¸´´ËÂ¥
¸ß¼¶»Ø¸´
sunyu730_emuch@126.com
2Â¥
2011-08-05 09:10:03
ÒÑÔÄ
»Ø¸´´ËÂ¥
¹Ø×¢TA
¸øTA·¢ÏûÏ¢
ËÍTAºì»¨
TAµÄ»ØÌû
cosmology
½ð³æ
(ÕýʽдÊÖ)
ÎïÀíEPI: 10
Ó¦Öú: 15
(СѧÉú)
½ð±Ò: 1411.3
ºì»¨: 1
Ìû×Ó: 418
ÔÚÏß: 48.6Сʱ
³æºÅ: 230145
×¢²á: 2006-03-26
ÐÔ±ð: GG
רҵ: »ù´¡ÎïÀíѧ
???????:
2?
:
Originally posted by
????730
at 2011-08-05 09:10:03:
????,?????(1)?§Ö?x,??-x????
???????§Ú???
»Ø¸´´ËÂ¥
3Â¥
2011-08-05 10:11:48
ÒÑÔÄ
»Ø¸´´ËÂ¥
¹Ø×¢TA
¸øTA·¢ÏûÏ¢
ËÍTAºì»¨
TAµÄ»ØÌû
Ëï?ª730
ÖÁ×ðľ³æ
(ÖªÃû×÷¼Ò)
ÎïÀíEPI: 7
Ó¦Öú: 537
(²©Ê¿)
¹ó±ö: 0.961
½ð±Ò: 22953.2
É¢½ð: 6464
ºì»¨: 177
ɳ·¢: 16
Ìû×Ó: 8217
ÔÚÏß: 2897.7Сʱ
³æºÅ: 490447
×¢²á: 2008-01-03
ÒýÓûØÌû:
3Â¥
:
Originally posted by
cosmology
at 2011-08-05 10:11:48:
µ«½á¹ûûÓиººÅ
Çë˵Çå³þЩ,˵Ľá¹û?
ϦÑôÎ÷ÏÂ: ÇëÎÊ»ý·ÖÀïµÄdx2Óëdx3ÊÇ·ñ·Ö±ðµÈÓÚ2dx,3dx2 2011-08-05 10:29:56
Ó¦¸Ã²»ÊÇÄǸöÒâ˼
ÔÞ
Ò»ÏÂ
»Ø¸´´ËÂ¥
sunyu730_emuch@126.com
4Â¥
2011-08-05 11:35:05
ÒÑÔÄ
»Ø¸´´ËÂ¥
¹Ø×¢TA
¸øTA·¢ÏûÏ¢
ËÍTAºì»¨
TAµÄ»ØÌû
Ëï?ª730
ÖÁ×ðľ³æ
(ÖªÃû×÷¼Ò)
ÎïÀíEPI: 7
Ó¦Öú: 537
(²©Ê¿)
¹ó±ö: 0.961
½ð±Ò: 22953.2
É¢½ð: 6464
ºì»¨: 177
ɳ·¢: 16
Ìû×Ó: 8217
ÔÚÏß: 2897.7Сʱ
³æºÅ: 490447
×¢²á: 2008-01-03
ÒýÓûØÌû:
3Â¥
:
Originally posted by
cosmology
at 2011-08-05 10:11:48:
µ«½á¹ûûÓиººÅ
µÄÈ·²»Ó¦¸ÃÓиººÅ
ÒòΪ,±»Ìá³öÀ´µÄϵÊýÊÇ(-1)^4
ÔÞ
Ò»ÏÂ
»Ø¸´´ËÂ¥
sunyu730_emuch@126.com
5Â¥
2011-08-05 11:37:46
ÒÑÔÄ
»Ø¸´´ËÂ¥
¹Ø×¢TA
¸øTA·¢ÏûÏ¢
ËÍTAºì»¨
TAµÄ»ØÌû
Ëï?ª730
ÖÁ×ðľ³æ
(ÖªÃû×÷¼Ò)
ÎïÀíEPI: 7
Ó¦Öú: 537
(²©Ê¿)
¹ó±ö: 0.961
½ð±Ò: 22953.2
É¢½ð: 6464
ºì»¨: 177
ɳ·¢: 16
Ìû×Ó: 8217
ÔÚÏß: 2897.7Сʱ
³æºÅ: 490447
×¢²á: 2008-01-03
???????:
5?
:
Originally posted by
????730
at 2011-08-05 11:37:46:
?????????§Ú???
???,??????????????(-1)^4
??????x0??§Ú??
????(-1)^3
???????
ÔÞ
Ò»ÏÂ
»Ø¸´´ËÂ¥
sunyu730_emuch@126.com
6Â¥
2011-08-05 11:44:15
ÒÑÔÄ
»Ø¸´´ËÂ¥
¹Ø×¢TA
¸øTA·¢ÏûÏ¢
ËÍTAºì»¨
TAµÄ»ØÌû
racoon01
ר¼Ò¹ËÎÊ
(ÖøÃûдÊÖ)
ר¼Ò¾Ñé: +213
ÎïÀíEPI: 25
Ó¦Öú: 212
(´óѧÉú)
½ð±Ò: 24355.2
É¢½ð: 27
ºì»¨: 71
Ìû×Ó: 2438
ÔÚÏß: 643.2Сʱ
³æºÅ: 1282452
×¢²á: 2011-05-01
רҵ: Öйú½ü´úÊ·¡¢ÏÖ´úÊ·
¹ÜϽ:
ÎïÀí
ÒýÓûØÌû:
1Â¥
:
Originally posted by
cosmology
at 2011-08-05 08:40:40:
¼ûͼ
ÕâÊÇÓ¦ÖúÌûÂ𣿠ÔõôÕÒ²»µ½Ó¦Öú°´Å¥£¿ ¿´À´¶ûµÈµÄÓÃÐIJ»³Ï°¡¡£
ÎҵĿ´·¨È總ͼ£¬²»Ö¸Íû½â¾öÂ¥Ö÷µÄÎÊÌ⣬ºÎ¿öÊÇÒ»¸ö¼ÙÓ¦ÖúÌû¡£µ«Ô¸½è´Ë»ú»áÓë²ÎÓëÕßÈçËïÏÈÉúµÈ½»Á÷Òâ¼û¡£
ÔÞ
Ò»ÏÂ
»Ø¸´´ËÂ¥
racoon
7Â¥
2011-08-05 13:02:16
ÒÑÔÄ
»Ø¸´´ËÂ¥
¹Ø×¢TA
¸øTA·¢ÏûÏ¢
ËÍTAºì»¨
TAµÄ»ØÌû
racoon01
ר¼Ò¹ËÎÊ
(ÖøÃûдÊÖ)
ר¼Ò¾Ñé: +213
ÎïÀíEPI: 25
Ó¦Öú: 212
(´óѧÉú)
½ð±Ò: 24355.2
É¢½ð: 27
ºì»¨: 71
Ìû×Ó: 2438
ÔÚÏß: 643.2Сʱ
³æºÅ: 1282452
×¢²á: 2011-05-01
רҵ: Öйú½ü´úÊ·¡¢ÏÖ´úÊ·
¹ÜϽ:
ÎïÀí
???????:
6?
:
Originally posted by
????730
at 2011-08-05 11:44:15:
??????x0??§Ú??
????(-1)^3
???????
????????
ÔÞ
Ò»ÏÂ
»Ø¸´´ËÂ¥
racoon
8Â¥
2011-08-05 13:42:54
ÒÑÔÄ
»Ø¸´´ËÂ¥
¹Ø×¢TA
¸øTA·¢ÏûÏ¢
ËÍTAºì»¨
TAµÄ»ØÌû
cosmology
½ð³æ
(ÕýʽдÊÖ)
ÎïÀíEPI: 10
Ó¦Öú: 15
(СѧÉú)
½ð±Ò: 1411.3
ºì»¨: 1
Ìû×Ó: 418
ÔÚÏß: 48.6Сʱ
³æºÅ: 230145
×¢²á: 2006-03-26
ÐÔ±ð: GG
רҵ: »ù´¡ÎïÀíѧ
ÔÞ
Ò»ÏÂ
»Ø¸´´ËÂ¥
9Â¥
2011-08-05 14:33:05
ÒÑÔÄ
»Ø¸´´ËÂ¥
¹Ø×¢TA
¸øTA·¢ÏûÏ¢
ËÍTAºì»¨
TAµÄ»ØÌû
racoon01
ר¼Ò¹ËÎÊ
(ÖøÃûдÊÖ)
ר¼Ò¾Ñé: +213
ÎïÀíEPI: 25
Ó¦Öú: 212
(´óѧÉú)
½ð±Ò: 24355.2
É¢½ð: 27
ºì»¨: 71
Ìû×Ó: 2438
ÔÚÏß: 643.2Сʱ
³æºÅ: 1282452
×¢²á: 2011-05-01
רҵ: Öйú½ü´úÊ·¡¢ÏÖ´úÊ·
¹ÜϽ:
ÎïÀí
ÒýÓûØÌû:
9Â¥
:
Originally posted by
cosmology
at 2011-08-05 14:33:05:
Äã±¾´ÎÌû×ÓÀïµÄ»ý·Ö¹«Ê½×ÔÈ»ÊÇÕýÈ·µÄ£¬µ«Ç°ÌáÌõ¼þÊÇf(t)±ØÐëÊÇÆÕͨº¯Êý¡£
ÎÒÔÚÎҵĵڶþÌùÖÐÒѾ°Ñÿ¸ö²½Ö趼д³öÀ´ÁË£¬ÄÄÒ»²½ÓÐ´í£¿
ÎҵĵÚÒ»ÌùÒѾÃ÷ȷ˵Ã÷ÄãµÄHeavisideº¯ÊýH(-x)µÄÓ÷¨Ê§ÎóÊÇÄã²»ÄÜÇóµÃÄãËùÏ£ÍûµÄ¸ººÅµÄÔÒò¡£ÕâËÆºõûÓÐÒýÆðÄãµÄ×¢Òâ¡£
ÔÞ
Ò»ÏÂ
»Ø¸´´ËÂ¥
racoon
10Â¥
2011-08-05 14:53:20
ÒÑÔÄ
»Ø¸´´ËÂ¥
¹Ø×¢TA
¸øTA·¢ÏûÏ¢
ËÍTAºì»¨
TAµÄ»ØÌû
Ïà¹Ø°æ¿éÌø×ª
ÊýÀí¿ÆÑ§×ÛºÏ
»úе
ÎïÀí
Êýѧ
Å©ÁÖ
ʳƷ
µØÑ§
ÄÜÔ´
ÐÅÏ¢¿ÆÑ§
ÍÁľ½¨Öþ
º½¿Õº½Ìì
ת»ùÒò
ÎÒÒª¶©ÔÄÂ¥Ö÷
cosmology
µÄÖ÷Ìâ¸üÐÂ
19
1/2
·µ»ØÁбí
1
2
ÏÂÒ»Ò³
Èç¹û»ØÌûÄÚÈݺ¬ÓÐÐû´«ÐÅÏ¢£¬ÇëÈçʵѡÖС£·ñÔòÕʺŽ«±»È«ÂÛ̳½ûÑÔ
ÆÕͨ±íÇé
Áú
ÍÃ
Ȣ
è
°Ù¶ÈÍøÅÌ
|
360ÔÆÅÌ
|
ǧÒ×ÍøÅÌ
|
»ªÎªÍøÅÌ
ÔÚд°¿ÚÒ³ÃæÖдò¿ª×Ô¼ºÏ²»¶µÄÍøÅÌÍøÕ¾£¬½«ÎļþÉÏ´«ºó£¬È»ºó½«ÏÂÔØÁ´½Ó¸´ÖƵ½Ìû×ÓÄÚÈÝÖоͿÉÒÔÁË¡£
ÐÅÏ¢Ìáʾ
¹Ø±Õ
ÇëÌî´¦ÀíÒâ¼û
¹Ø±Õ
È·¶¨