| 查看: 521 | 回复: 3 | |
liucheng200883至尊木虫 (著名写手)
帝
|
[求助]
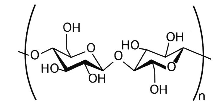
请问下该物质较什么名字啊,具体的化学名称?有什么作用?【自己已经解决】
|
![]() |
|
|
|
|
|
2楼2011-06-09 16:58:15
|
|
|
3楼2011-06-09 17:09:23
|
|
|
4楼2013-02-02 20:33:47
|
|














回复此楼
