24小时热门版块排行榜    

查看: 1853  |  回复: 21

waterway

金虫 (小有名气)


小木虫(金币+0.5):给个红包,谢谢回帖交流






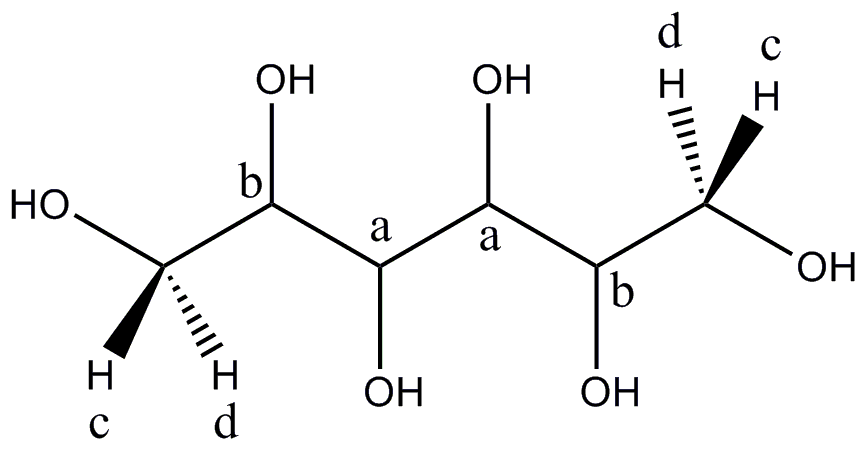
归属一下,从高场到低场依次是
aH(2H),cH(2H),bH(2H),dH(2H),然后就是三组OH,每组两个H。
你积的那个14H的是DMSO水峰。
21楼2011-03-16 10:04:26
已阅   回复此楼   关注TA 给TA发消息 送TA红花 TA的回帖

041033045009

金虫 (正式写手)

引用回帖:
Originally posted by waterway at 2011-03-16 10:04:26:






归属一下,从高场到低场依次是
aH(2H),cH(2H),bH(2H),dH(2H),然后就是三组OH,每组两个H。
你积的那个 ...

谢谢,非常感谢,讲得很详细,看了看应该是甘露醇
22楼2011-03-16 11:23:17
已阅   回复此楼   关注TA 给TA发消息 送TA红花 TA的回帖
相关版块跳转 我要订阅楼主 041033045009 的主题更新
普通表情 高级回复 (可上传附件)
最具人气热帖推荐 [查看全部] 作者 回/看 最后发表
[基金申请] 成果系统访问量大,请15分钟后再尝试。由此给您造成的不便,敬请谅解。 +7 xhuama 2026-03-02 8/400 2026-03-02 22:33 by taidy
[考研] 课题组接收材料类调剂研究生 +4 gaoxiaoniuma 2026-02-28 6/300 2026-03-02 22:29 by gaoxiaoniuma
[考研] 338求调剂 +4 18162027187 2026-03-02 5/250 2026-03-02 22:18 by sunny81
[考研] 268求调剂 +8 简单点0 2026-03-02 12/600 2026-03-02 21:42 by sunny81
[考研] 0856材料求调剂 +12 hyf hyf hyf 2026-02-28 13/650 2026-03-02 20:19 by hypershenger
[考研] 材料270求调剂 6+4 Eiiiio 2026-03-01 7/350 2026-03-02 20:17 by hypershenger
[考研] 材料284求调剂,一志愿郑州大学英一数二专硕 +15 想上岸的土拨鼠 2026-02-28 15/750 2026-03-02 20:13 by hypershenger
[考研] 材料类考研调剂 +3 gemmgemm 2026-03-01 4/200 2026-03-02 20:02 by hypershenger
[考研] 化学,材料,环境类求调剂 +7 考研版棒棒 2026-03-02 7/350 2026-03-02 19:56 by hypershenger
[考研] 271求调剂 +3 Ricardo1113 2026-03-02 3/150 2026-03-02 19:53 by zhukairuo
[考研] 290求调剂 +6 ErMiao1020 2026-03-02 6/300 2026-03-02 18:14 by lature00
[考研] 欢迎采矿、地质、岩土、计算机、人工智能等专业的同学报考 +6 pin8023 2026-02-28 8/400 2026-03-02 17:13 by 0854蹲调剂
[考研] 一志愿华南理工大学材料与化工326分,求调剂 +3 wujinrui1 2026-02-28 3/150 2026-03-02 16:36 by chuocheng
[考研] 材料与化工328求调剂 +3 。,。,。,。i 2026-03-02 3/150 2026-03-02 13:09 by houyaoxu
[基金申请] 面上模板改不了页边距吧? +6 ieewxg 2026-02-25 7/350 2026-03-02 12:44 by stidwellNK
[基金申请] 成果系统访问量大,请一小时后再尝试。---NSFC啥时候好哦,已经两天这样了 +4 NSFC2026我来了 2026-02-28 4/200 2026-03-01 22:37 by 铁门栓
[考研] 一志愿中南大学理学化学 +4 15779376950 2026-03-01 5/250 2026-03-01 19:00 by Fff-1
[基金申请] 刚录用,没有期刊号,但是在线可看的论文可以放为代表作吗 10+3 arang1 2026-03-01 3/150 2026-03-01 16:43 by babero
[考研] 311求调剂 +6 亭亭亭01 2026-03-01 6/300 2026-03-01 15:41 by 324616
[考研] 寻找调剂 +4 LYidhsjabdj 2026-02-28 4/200 2026-03-01 10:56 by sunny81
信息提示
请填处理意见