| 查看: 519 | 回复: 5 | |||
2014092135新虫 (小有名气)
|
[求助]
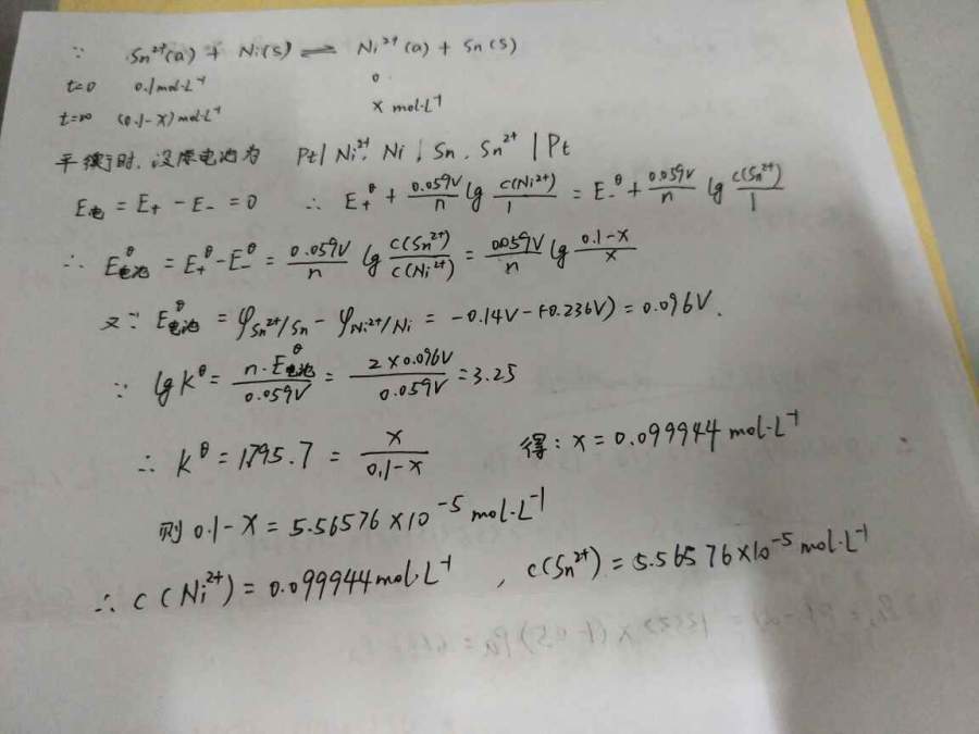
物化求助
|
||
|
|
|||
jiagle专家顾问 (知名作家)
|
|||
|
2楼2017-10-06 09:08:02
|
|
||
2014092135新虫 (小有名气)
|
|||
|
3楼2017-10-06 10:00:33
|
|
||
LJJJLJJJ新虫 (正式写手)
|
★ ★ ★ ★ ★ ★
小木虫: 金币+0.5, 给个红包,谢谢回帖 冰点降温: 金币+3, 谢谢回帖交流,欢迎常来无机物化版块。 2017-10-09 09:55:26 2014092135(冰点降温代发): 金币+2 2017-10-09 09:55:31 |
||
|
4楼2017-10-06 23:31:26
|
|
||
LJJJLJJJ新虫 (正式写手)
|
|||
|
5楼2017-10-06 23:31:49
|
|
||
2014092135新虫 (小有名气)
|
|||
|
6楼2017-10-08 14:12:26
|
|














回复此楼