| 查看: 1632 | 回复: 5 | ||
| 当前只显示满足指定条件的回帖,点击这里查看本话题的所有回帖 | ||
蛋蛋爱猫咪铁杆木虫 (著名写手)
|
[求助]
为什么交流阻抗谱低频电阻特别大
|
|
|
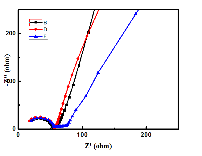
各位大侠,求助。 本人在做不同材料对比的时候发现有的低频电阻特别大,但是在高频区的阻抗相似,低频区电阻如此大的原因是什么? 此外,在图2 F曲线中,圆弧后面紧接着是一个平台,而不是斜线,这是什么原因? 谢谢各位大神不吝赐教~ 整体效果图 高频区作图 |
» 猜你喜欢
上海工程技术大学生态与功能纺织品开发研究团队招收学硕专硕研究生
已经有0人回复
华南理工0703求调剂,总分336四六级已过
已经有2人回复
分析化学论文润色/翻译怎么收费?
已经有266人回复
青岛大学化学化工学院2026年招收调剂硕士研究生
已经有0人回复
新能源材料方向考研调剂招生(长江师范学院)
已经有0人回复
0854电子信息272求调剂!
已经有0人回复
化学-化工-材料-食品-生物-环境2026年研究生调剂(可以不考数学)
已经有0人回复
化学-化工-材料-食品-生物-环境-农业 2026年研究生调剂(可以不考数学)
已经有0人回复
070300一志愿211,312分求调剂院校
已经有4人回复
26年储能、电池方向博士申请
已经有0人回复
070300化学求调剂
已经有0人回复
» 本主题相关商家推荐: (我也要在这里推广)

3楼2017-06-13 07:54:35
2楼2017-06-13 07:53:48
蛋蛋爱猫咪
铁杆木虫 (著名写手)
- 应助: 20 (小学生)
- 金币: 14476.6
- 散金: 2736
- 红花: 9
- 帖子: 1957
- 在线: 904.7小时
- 虫号: 890600
- 注册: 2009-11-01
- 专业: 无机非金属类光电信息与功

4楼2017-06-13 23:07:06
5楼2017-06-14 07:21:12














回复此楼