| 查看: 1474 | 回复: 3 | ||
TerenceLin银虫 (著名写手)
|
[求助]
Mott-Schottky作图问题已有1人参与
|
|
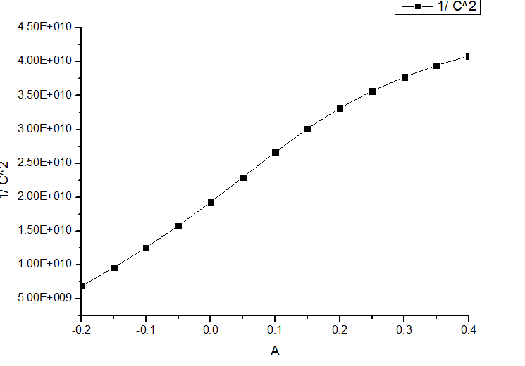
Mott-Schottky曲线,用origin作图时图1的趋势,但是用电化学工作站做实验时出现的曲线趋势是相反的,为什么用数据作图与实验时的图是相反的,哪里出错了,请各位大神帮忙解答 HKC)5I7KSUI3XWWAI2Z{G8H.png |
» 猜你喜欢
二苯甲酮亚胺的合成
已经有1人回复
聚左旋乳酸的作用与机制:从胶原再生到组织修复
已经有0人回复
有机高分子材料论文润色/翻译怎么收费?
已经有246人回复
可生物降解聚酯聚己内酯的性能分析与发展趋势
已经有0人回复
带膜支架的膜和支架之间的结合力如何测试
已经有2人回复
西交利物浦大学奖学金博士招生(生物传感或机器学习方向)
已经有1人回复
南方科技大学招收金属材料方向博士生
已经有23人回复
可降解聚酯材料在医疗器械中的应用趋势与创新方向
已经有0人回复
可降解微球如何提升药物精准治疗效果
已经有0人回复
静电纺丝膜分层问题
已经有0人回复
什么脱膜剂可以完全清洗干净啊?
已经有2人回复
冰点降温
版主 (文坛精英)
- ICEPI: 16
- 应助: 1049 (博后)
- 贵宾: 17.579
- 金币: 141890
- 散金: 15350
- 红花: 242
- 沙发: 799
- 帖子: 15953
- 在线: 2054.9小时
- 虫号: 851406
- 注册: 2009-09-19
- 性别: GG
- 专业: 化学工程及工业化学
- 管辖: 无机/物化

2楼2017-04-12 09:22:32
TerenceLin
银虫 (著名写手)
- 应助: 0 (幼儿园)
- 金币: 12435.7
- 散金: 6
- 帖子: 1639
- 在线: 20.1小时
- 虫号: 2312135
- 注册: 2013-03-02
- 专业: 催化化学
3楼2017-04-12 22:51:48
4楼2017-09-21 13:40:48













回复此楼

