| 查看: 3255 | 回复: 13 | |||||
| 当前只显示满足指定条件的回帖,点击这里查看本话题的所有回帖 | |||||
[求助]
求助:怎么用orgin做应力应变曲线微分
|
|||||
|
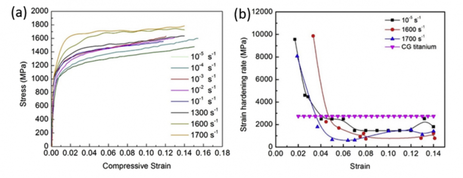
我看文献里对应力应变求微分,都得到光滑的加工硬化率曲线,如附件图1。 而我用origin微分之后得到的是附件图2。光滑处理之后得到如附件图3。求大神指导。 ![]() 1.png 2.png 2.png 3.png |
» 猜你喜欢
国内减水剂行业具有代表性的品牌及生产厂家
已经有0人回复
如何选择减水剂厂家
已经有0人回复
有机高分子材料论文润色/翻译怎么收费?
已经有228人回复
从外贸出口数据看高效减水剂的发展现状
已经有0人回复
当下萘系减水剂的市场角逐
已经有0人回复
混凝土缓凝剂
已经有0人回复
随笔之眺望世界的足迹
已经有0人回复
2025建材企业发展大会
已经有0人回复
随笔之混凝土外加剂绿色生产的变奏曲
已经有0人回复
求修复生态学专业的本科培养方案
已经有0人回复
随笔:混凝土外加剂之共生共荣的产业生态
已经有0人回复
送红花一朵smile1312
新虫 (小有名气)
- 应助: 0 (幼儿园)
- 金币: 1510.5
- 红花: 1
- 帖子: 217
- 在线: 155小时
- 虫号: 3344896
- 注册: 2014-07-29
- 性别: GG
- 专业: 金属材料的合金相、相变及














回复此楼