24小时热门版块排行榜    

查看: 256  |  回复: 0

hsf03009003

铜虫 (小有名气)

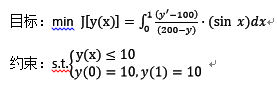
[求助] 【求助】一个含不等式约束的变分问题!

【求助】一个含不等式约束的变分问题!

还请各路数学达人多多指教。

【求助】一个含不等式约束的变分问题!
回复此楼
已阅   回复此楼   关注TA 给TA发消息 送TA红花 TA的回帖
相关版块跳转 我要订阅楼主 hsf03009003 的主题更新
信息提示
请填处理意见