| 查看: 3805 | 回复: 10 | ||
| 当前只显示满足指定条件的回帖,点击这里查看本话题的所有回帖 | ||
[求助]
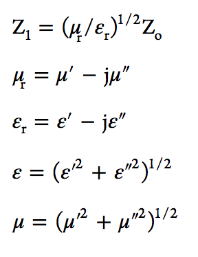
吸波材料里用传输线理论计算的zin和用磁导率除介电常数开根号计算的zi,有什么关系 已有2人参与
|
||
吸波材料专辑 |
» 猜你喜欢
西安工业大学 功能材料与防护研究所 2026硕士研究生调剂招收公告
已经有0人回复
景德镇某高校环境工程专业,需大量调剂名额
已经有0人回复
冶金与矿业论文润色/翻译怎么收费?
已经有52人回复
河南师范大学环境学院 2026年硕士研究生招生第二批调剂通知
已经有0人回复
天津理工大学功能晶体研究院(晶体材料全国重点实验室)招收2026年博士研究生
已经有2人回复
天津理工大学功能晶体研究院(晶体材料全国重点实验室)招收2026年博士研究生
已经有1人回复
天津理工大学功能晶体研究院(晶体材料全国重点实验室)招收2026年博士研究生
已经有0人回复
通过高温激光共聚焦显微镜研究CaO–Al2O3–SiO2型炼钢渣中钙铝酸盐夹杂物的溶解动力学
已经有0人回复
第13期 使用高温共聚焦显微镜原位观察低碳钢的凝固过程
已经有0人回复
两种316L不锈钢的凝固模式及δ铁素体:铸态显微组织与HT- CLSM相结合的研究
已经有0人回复
金属学报中文版投稿,复审求助
已经有1人回复
» 本主题相关商家推荐: (我也要在这里推广)
extraterrest
铁杆木虫 (著名写手)
- 应助: 1 (幼儿园)
- 金币: 9509.9
- 散金: 9
- 红花: 4
- 帖子: 1446
- 在线: 183.3小时
- 虫号: 303268
- 注册: 2006-12-03
- 性别: GG
- 专业: 无机非金属基复合材料

10楼2017-03-17 22:48:53
2楼2016-12-01 10:05:44
Tristram
木虫 (小有名气)
- 应助: 1 (幼儿园)
- 金币: 3130.4
- 散金: 101
- 帖子: 81
- 在线: 111.7小时
- 虫号: 1999779
- 注册: 2012-09-14
- 性别: GG
- 专业: 无机材料化学
3楼2016-12-02 08:57:40
4楼2016-12-04 15:22:49












回复此楼
