| 查看: 1320 | 回复: 9 | ||
| 本帖产生 1 个 ICEPI ,点击这里进行查看 | ||
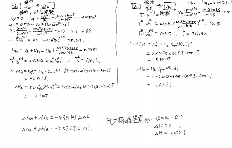
[求助]
请问一道物理化学热力学问题 2
|
||
谷老师解答热力学专题 |
» 猜你喜欢
生物医学材料前沿科普:低密度、高孔隙率的“多孔微球”核心技术与应用全景
已经有1人回复
湖南工业大学周贵寅组招生物医学工程(学硕07、08都行)、生物与医药(专硕08)硕士生
已经有0人回复
有机高分子材料论文润色/翻译怎么收费?
已经有166人回复
湖南工业大学周贵寅组招生物医学工程(学硕07、08都行)和生物与医药(专硕08)硕士生
已经有0人回复
考研求调剂
已经有0人回复
2026年中南民族大学化学与材料科学学院调剂公告
已经有40人回复
武汉纺织大学招生物材料、化学、高分子相关专业硕士生
已经有0人回复
武汉纺织大学招生物材料、化学、高分子相关专业硕士生-另有少量士兵计划可咨询
已经有0人回复
[武汉纺织大学]材料学院[姜伟团队名称]课题组-2026年硕士研究生调剂信息
已经有0人回复
中国科学院·过程工程研究所·招聘海内外高层次人才---过程所“百人计划”
已经有0人回复
中国科学院·过程工程研究所·招聘海内外高层次人才---过程所“百人计划”
已经有4人回复
谷中明
至尊木虫 (著名写手)
- ICEPI: 19
- 应助: 1264 (讲师)
- 贵宾: 0.482
- 金币: 24134.7
- 红花: 182
- 帖子: 2913
- 在线: 1911.3小时
- 虫号: 1883403
- 注册: 2012-07-08
- 性别: GG
- 专业: 热力学
5楼2016-12-01 22:54:31
谷中明
至尊木虫 (著名写手)
- ICEPI: 19
- 应助: 1264 (讲师)
- 贵宾: 0.482
- 金币: 24134.7
- 红花: 182
- 帖子: 2913
- 在线: 1911.3小时
- 虫号: 1883403
- 注册: 2012-07-08
- 性别: GG
- 专业: 热力学
2楼2016-11-30 20:39:15
3楼2016-12-01 17:24:37
4楼2016-12-01 18:40:02
6楼2016-12-01 23:20:22
谷中明
至尊木虫 (著名写手)
- ICEPI: 19
- 应助: 1264 (讲师)
- 贵宾: 0.482
- 金币: 24134.7
- 红花: 182
- 帖子: 2913
- 在线: 1911.3小时
- 虫号: 1883403
- 注册: 2012-07-08
- 性别: GG
- 专业: 热力学
7楼2016-12-01 23:42:05
8楼2016-12-05 11:49:01
9楼2016-12-06 15:56:31
★ ★ ★ ★ ★ ★ ★ ★ ★ ★ ★ ★ ★ ★ ★ ★ ★ ★ ★ ★ ★ ★ ★ ★ ★ ★ ★ ★ ★ ★ ★ ★ ★ ★ ★ ★ ★ ★ ★ ★ ★ ★ ★ ★ ★ ★ ★ ★ ★ ★ ★ ★ ...
冰点降温: 金币-50, 屏蔽内容, 违规存档, 相近IP,恶意灌水!扰乱论坛正常回帖秩序。 2017-08-21 09:31:51
冰点降温: 金币-50, 同一IP,多次恶意灌水! 2017-08-21 09:33:15
冰点降温: 金币-50, 同一ID,多次恶意灌水!扰乱论坛回帖秩序。 2017-08-21 09:33:39
冰点降温: 金币-50 2017-08-21 09:33:50
冰点降温: 金币-50 2017-08-21 09:34:09
冰点降温: 金币-50 2017-08-21 09:34:18
冰点降温: 金币-50 2017-08-21 09:34:34
冰点降温: 金币-50 2017-08-21 09:34:40
冰点降温: 金币-50 2017-08-21 09:34:49
冰点降温: 金币-50 2017-08-21 09:34:54
冰点降温: 金币-50, 屏蔽内容, 违规存档, 相近IP,恶意灌水!扰乱论坛正常回帖秩序。 2017-08-21 09:31:51
冰点降温: 金币-50, 同一IP,多次恶意灌水! 2017-08-21 09:33:15
冰点降温: 金币-50, 同一ID,多次恶意灌水!扰乱论坛回帖秩序。 2017-08-21 09:33:39
冰点降温: 金币-50 2017-08-21 09:33:50
冰点降温: 金币-50 2017-08-21 09:34:09
冰点降温: 金币-50 2017-08-21 09:34:18
冰点降温: 金币-50 2017-08-21 09:34:34
冰点降温: 金币-50 2017-08-21 09:34:40
冰点降温: 金币-50 2017-08-21 09:34:49
冰点降温: 金币-50 2017-08-21 09:34:54
|
本帖内容被屏蔽 |
10楼2017-08-19 12:21:06














回复此楼
折断海岸线
5