版块导航
正在加载中...
客户端APP下载
登录
注册
帖子
帖子
用户
本版
应《网络安全法》要求,自2017年10月1日起,未进行实名认证将不得使用互联网跟帖服务。为保障您的帐号能够正常使用,请尽快对帐号进行手机号验证,感谢您的理解与支持!
24小时热门版块排行榜
>
论坛更新日志
(3359)
>
虫友互识
(438)
>
文献求助
(399)
>
导师招生
(229)
>
论文投稿
(144)
>
休闲灌水
(141)
>
考博
(122)
>
仿真模拟
(107)
>
硕博家园
(78)
>
基金申请
(65)
>
招聘信息布告栏
(54)
>
博后之家
(47)
>
教师之家
(47)
>
找工作
(36)
>
绿色求助(高悬赏)
(33)
>
公派出国
(31)
小木虫论坛-学术科研互动平台
»
化学化工区
»
无机/物化
»
物理化学
»
热力学
10
1/1
返回列表
查看: 1224 | 回复: 9
只看楼主
@他人
存档
新回复提醒
(忽略)
收藏
在APP中查看
本帖产生 1 个 ICEPI ,点击这里进行查看
周立立
新虫
(小有名气)
应助: 1
(幼儿园)
金币: 11.5
散金: 5
帖子: 80
在线: 4小时
虫号: 4974703
注册: 2016-09-03
性别:
MM
专业: 理论和计算化学
[
求助
]
热力学
已有2人参与
为什么我从不同角度得的结果不同
发自小木虫Android客户端
回复此楼
» 收录本帖的淘帖专辑推荐
谷老师解答热力学专题
» 猜你喜欢
湖南工业大学周贵寅组招生物医学工程(学硕07、08都行)和生物与医药(专硕08)硕士生
已经有0人回复
考研求调剂
已经有0人回复
有机高分子材料论文润色/翻译怎么收费?
已经有63人回复
2026年中南民族大学化学与材料科学学院调剂公告
已经有40人回复
武汉纺织大学招生物材料、化学、高分子相关专业硕士生
已经有0人回复
武汉纺织大学招生物材料、化学、高分子相关专业硕士生-另有少量士兵计划可咨询
已经有0人回复
[武汉纺织大学]材料学院[姜伟团队名称]课题组-2026年硕士研究生调剂信息
已经有0人回复
中国科学院·过程工程研究所·招聘海内外高层次人才---过程所“百人计划”
已经有1人回复
中国科学院·过程工程研究所·招聘海内外高层次人才---过程所“百人计划”
已经有5人回复
2026考博自荐
已经有4人回复
温敏水凝胶收缩
已经有0人回复
1楼
2016-11-09 10:00:11
已阅
回复此楼
关注TA
给TA发消息
送TA红花
TA的回帖
回帖置顶 ( 共有3个 )
谷中明
至尊木虫
(著名写手)
ICEPI: 19
应助: 1264
(讲师)
贵宾: 0.482
金币: 24134.7
红花: 182
帖子: 2913
在线: 1911.3小时
虫号: 1883403
注册: 2012-07-08
性别: GG
专业: 热力学
【答案】应助回帖
★ ★ ★ ★ ★ ★ ★ ★
感谢参与,应助指数 +1
周立立: 金币+5,
★★★★★
最佳答案
2016-11-09 14:04:47
冰点降温: 金币+3, ICEPI+1, 应助指数+1, 谷老师辛苦了。
2016-11-09 14:55:25
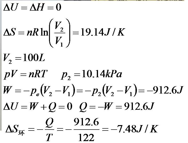
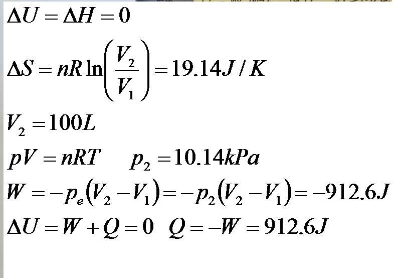
问题的症结在于此过程为不可逆过程。不能直接利用熵变求得过程的热效应。
习题56.jpg
赞
一下
回复此楼
3楼
2016-11-09 13:30:54
已阅
回复此楼
关注TA
给TA发消息
送TA红花
TA的回帖
谷中明
至尊木虫
(著名写手)
ICEPI: 19
应助: 1264
(讲师)
贵宾: 0.482
金币: 24134.7
红花: 182
帖子: 2913
在线: 1911.3小时
虫号: 1883403
注册: 2012-07-08
性别: GG
专业: 热力学
【答案】应助回帖
冰点降温: 回帖置顶
2016-11-09 14:55:46
引用回帖:
4楼
:
Originally posted by
周立立
at 2016-11-09 13:36:38
环境的熵变呢 这么做环境的熵和体系的一样了 等温等外压膨胀应该是熵增过程
...
详见附图处理。
习题56.jpg
赞
一下
回复此楼
5楼
2016-11-09 13:47:23
已阅
回复此楼
关注TA
给TA发消息
送TA红花
TA的回帖
谷中明
至尊木虫
(著名写手)
ICEPI: 19
应助: 1264
(讲师)
贵宾: 0.482
金币: 24134.7
红花: 182
帖子: 2913
在线: 1911.3小时
虫号: 1883403
注册: 2012-07-08
性别: GG
专业: 热力学
【答案】应助回帖
冰点降温: 回帖置顶
2016-11-09 14:55:59
引用回帖:
5楼
:
Originally posted by
谷中明
at 2016-11-09 13:47:23
详见附图处理。
习题56.jpg
...
环境的熵变等于实际过程的热温商的负值。总熵为11.66J/K
赞
一下
回复此楼
» 本帖已获得的红花(最新10朵)
周立立
7楼
2016-11-09 13:52:13
已阅
回复此楼
关注TA
给TA发消息
送TA红花
TA的回帖
普通回帖
甄士隐207
木虫之王
(文学泰斗)
ICEPI: 6
应助: 959
(博后)
贵宾: 0.369
金币: 96567.4
散金: 8136
红花: 222
沙发: 6180
帖子: 61151
在线: 4213.9小时
虫号: 2803014
注册: 2013-11-15
专业: 史学史
【答案】应助回帖
感谢参与,应助指数 +1
不是可逆过程,所以Q不是TdS
发自小木虫Android客户端
赞
一下
回复此楼
2楼
2016-11-09 12:54:07
已阅
回复此楼
关注TA
给TA发消息
送TA红花
TA的回帖
周立立
新虫
(小有名气)
应助: 1
(幼儿园)
金币: 11.5
散金: 5
帖子: 80
在线: 4小时
虫号: 4974703
注册: 2016-09-03
性别:
MM
专业: 理论和计算化学
引用回帖:
3楼
:
Originally posted by
谷中明
at 2016-11-09 13:30:54
问题的症结在于此过程为不可逆过程。不能直接利用熵变求得过程的热效应。
习题56.jpg
环境的熵变呢 这么做环境的熵和体系的一样了 等温等外压膨胀应该是熵增过程
发自小木虫Android客户端
赞
一下
回复此楼
4楼
2016-11-09 13:36:38
已阅
回复此楼
关注TA
给TA发消息
送TA红花
TA的回帖
周立立
新虫
(小有名气)
应助: 1
(幼儿园)
金币: 11.5
散金: 5
帖子: 80
在线: 4小时
虫号: 4974703
注册: 2016-09-03
性别:
MM
专业: 理论和计算化学
引用回帖:
5楼
:
Originally posted by
谷中明
at 2016-11-09 13:47:23
详见附图处理。
习题56.jpg
...
谢谢 追问一下 等温等外压压缩为什么可以这么算直接用Q比T
发自小木虫Android客户端
赞
一下
回复此楼
6楼
2016-11-09 13:50:33
已阅
回复此楼
关注TA
给TA发消息
送TA红花
TA的回帖
周立立
新虫
(小有名气)
应助: 1
(幼儿园)
金币: 11.5
散金: 5
帖子: 80
在线: 4小时
虫号: 4974703
注册: 2016-09-03
性别:
MM
专业: 理论和计算化学
送红花一朵
引用回帖:
7楼
:
Originally posted by
谷中明
at 2016-11-09 13:52:13
环境的熵变等于实际过程的热温商的负值。总熵为11.66J/K...
这个题是哪本参考资料上的么
发自小木虫Android客户端
赞
一下
回复此楼
8楼
2016-11-09 13:58:28
已阅
回复此楼
关注TA
给TA发消息
送TA红花
TA的回帖
谷中明
至尊木虫
(著名写手)
ICEPI: 19
应助: 1264
(讲师)
贵宾: 0.482
金币: 24134.7
红花: 182
帖子: 2913
在线: 1911.3小时
虫号: 1883403
注册: 2012-07-08
性别: GG
专业: 热力学
引用回帖:
8楼
:
Originally posted by
周立立
at 2016-11-09 13:58:28
这个题是哪本参考资料上的么
...
以前未遇到。
回复此楼
9楼
2016-11-09 14:02:10
已阅
回复此楼
关注TA
给TA发消息
送TA红花
TA的回帖
周立立
新虫
(小有名气)
应助: 1
(幼儿园)
金币: 11.5
散金: 5
帖子: 80
在线: 4小时
虫号: 4974703
注册: 2016-09-03
性别:
MM
专业: 理论和计算化学
引用回帖:
9楼
:
Originally posted by
谷中明
at 2016-11-09 14:02:10
以前未遇到。...
好吧(∩_∩) 这个是我考研的题 十分感谢
发自小木虫Android客户端
赞
一下
回复此楼
10楼
2016-11-09 14:04:24
已阅
回复此楼
关注TA
给TA发消息
送TA红花
TA的回帖
相关版块跳转
有机交流
有机资源
高分子
无机/物化
分析
催化
工艺技术
化工设备
石油化工
精细化工
电化学
环境
SciFinder/Reaxys
我要订阅楼主
周立立
的主题更新
10
1/1
返回列表
如果回帖内容含有宣传信息,请如实选中。否则帐号将被全论坛禁言
普通表情
龙
兔
虎
猫
百度网盘
|
360云盘
|
千易网盘
|
华为网盘
在新窗口页面中打开自己喜欢的网盘网站,将文件上传后,然后将下载链接复制到帖子内容中就可以了。
信息提示
关闭
请填处理意见
关闭
确定