| ²é¿´: 942 | »Ø¸´: 1 | |||
fgfgfggfgjjгæ (СÓÐÃûÆø)
|
[ÇóÖú]
·Ç±ê׼̬·´Ó¦ìرäÒª¿¼ÂÇ¡÷VÂð ÒÑÓÐ1È˲ÎÓë
|
|
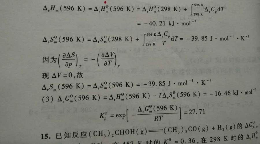
ìØ±äµÄ»ý·Ö¹«Ê½ÎÒÒ»°ã¶¼Àí½âΪÇóÁíÒ»¸öζÈϵÄìØ±ä£¬Âò´í´ð°¸Ê飬ºóÃæµÄ´ð°¸ÊµÔÚ¿´²»ÏÂÈ¥ÁË£¬¿ì¿ªÑ§Ê±²ÅÂòµÄÕâ±¾Ê飬Õâ¸öÇó·Ç±ê×¼·´Ó¦ìر仹ҪÀûÓÃÂó¿Ë˹Τ¹«Ê½ÔÙÇóһϣ¬·´Ó¦ìʱäºÍ·´Ó¦ìر䶼ÊÇ´Ó298K±ê̬Ï»ý³öÀ´µÄ£¬»ý³öÀ´µÄÊÇÁíһζÈϵķ´Ó¦ìÊÓëìØ£¬µ«ÊÇÈç¹ûÒÔºó²»ÊÇʵ¼ÊÆøÌåÄØ£¬ìʲ»ÊÇζȵĺ¯Êý£¬Èç¹û¡÷V¡Ù0£¬ÄÇôÇé¿öÊDz»ÊÇÒª¸´ÔÓÁË£¬Èç¹ûÈÃÎÒ×öÌâµÄ»°£¬Îҿ϶¨Ê²Ã´¶¼²»¿¼ÂÇ£¬Ö±½ÓÌ×¹«Ê½ÇóÁíһζÈϵķ´Ó¦ìÊÓë·´Ó¦ìØ£¬ ·¢×ÔСľ³æAndroid¿Í»§¶Ë |
» ÊÕ¼±¾ÌûµÄÌÔÌûר¼ÍƼö
¹ÈÀÏʦ½â´ðÈÈÁ¦Ñ§×¨Ìâ |
» ²ÂÄãϲ»¶
ÉúÎïҽѧ²ÄÁÏÇ°ÑØ¿ÆÆÕ£ºµÍÃܶȡ¢¸ß¿×϶Âʵġ°¶à¿×΢Çò¡±ºËÐļ¼ÊõÓëÓ¦ÓÃÈ«¾°
ÒѾÓÐ1È˻ظ´
ºþÄϹ¤Òµ´óѧÖܹóÒú×éÕÐÉúÎïҽѧ¹¤³Ì£¨Ñ§Ë¶07¡¢08¶¼ÐУ©¡¢ÉúÎïÓëÒ½Ò©£¨×¨Ë¶08£©Ë¶Ê¿Éú
ÒѾÓÐ0È˻ظ´
Óлú¸ß·Ö×Ó²ÄÁÏÂÛÎÄÈóÉ«/·ÒëÔõôÊÕ·Ñ?
ÒѾÓÐ86È˻ظ´
ºþÄϹ¤Òµ´óѧÖܹóÒú×éÕÐÉúÎïҽѧ¹¤³Ì£¨Ñ§Ë¶07¡¢08¶¼ÐУ©ºÍÉúÎïÓëÒ½Ò©£¨×¨Ë¶08£©Ë¶Ê¿Éú
ÒѾÓÐ0È˻ظ´
¿¼ÑÐÇóµ÷¼Á
ÒѾÓÐ0È˻ظ´
2026ÄêÖÐÄÏÃñ×å´óѧ»¯Ñ§Óë²ÄÁÏ¿ÆÑ§Ñ§Ôºµ÷¼Á¹«¸æ
ÒѾÓÐ40È˻ظ´
Î人·ÄÖ¯´óѧÕÐÉúÎï²ÄÁÏ¡¢»¯Ñ§¡¢¸ß·Ö×ÓÏà¹Ø×¨ÒµË¶Ê¿Éú
ÒѾÓÐ0È˻ظ´
Î人·ÄÖ¯´óѧÕÐÉúÎï²ÄÁÏ¡¢»¯Ñ§¡¢¸ß·Ö×ÓÏà¹Ø×¨ÒµË¶Ê¿Éú-ÁíÓÐÉÙÁ¿Ê¿±ø¼Æ»®¿É×Éѯ
ÒѾÓÐ0È˻ظ´
[Î人·ÄÖ¯´óѧ]²ÄÁÏѧԺ[½ªÎ°ÍŶÓÃû³Æ]¿ÎÌâ×é-2026Äê˶ʿÑо¿Éúµ÷¼ÁÐÅÏ¢
ÒѾÓÐ0È˻ظ´
Öйú¿ÆÑ§Ôº¡¤¹ý³Ì¹¤³ÌÑо¿Ëù¡¤ÕÐÆ¸º£ÄÚÍâ¸ß²ã´ÎÈ˲Å---¹ý³ÌËù¡°°ÙÈ˼ƻ®¡±
ÒѾÓÐ0È˻ظ´
Öйú¿ÆÑ§Ôº¡¤¹ý³Ì¹¤³ÌÑо¿Ëù¡¤ÕÐÆ¸º£ÄÚÍâ¸ß²ã´ÎÈ˲Å---¹ý³ÌËù¡°°ÙÈ˼ƻ®¡±
ÒѾÓÐ4È˻ظ´
¹ÈÖÐÃ÷
ÖÁ×ðľ³æ (ÖøÃûдÊÖ)
- ICEPI: 19
- Ó¦Öú: 1264 (½²Ê¦)
- ¹ó±ö: 0.482
- ½ð±Ò: 24134.7
- ºì»¨: 182
- Ìû×Ó: 2913
- ÔÚÏß: 1911.3Сʱ
- ³æºÅ: 1883403
- ×¢²á: 2012-07-08
- ÐÔ±ð: GG
- רҵ: ÈÈÁ¦Ñ§
¡¾´ð°¸¡¿Ó¦Öú»ØÌû
¡ï ¡ï ¡ï ¡ï ¡ï ¡ï ¡ï ¡ï ¡ï ¡ï ¡ï
¸Ðл²ÎÓ룬ӦÖúÖ¸Êý +1
fgfgfggfgjj: ½ð±Ò+10, ¡ï¡ï¡ï¡ï¡ï×î¼Ñ´ð°¸ 2016-09-19 12:25:32
±ùµã½µÎÂ: ½ð±Ò+1, ллר¼ÒÓ¦Öú½â´ð£¬ÐÁ¿àÁË¡£ 2016-09-19 16:08:22
¸Ðл²ÎÓ룬ӦÖúÖ¸Êý +1
fgfgfggfgjj: ½ð±Ò+10, ¡ï¡ï¡ï¡ï¡ï×î¼Ñ´ð°¸ 2016-09-19 12:25:32
±ùµã½µÎÂ: ½ð±Ò+1, ллר¼ÒÓ¦Öú½â´ð£¬ÐÁ¿àÁË¡£ 2016-09-19 16:08:22
| ÐèÒª¿¼ÂÇ£¬ÒòΪζÈÓëѹÁ¦¶ÔìÊ±ä¡¢ìØ±ä¾ùÓÐÓ°Ïì¡£²»¹ý¶ÔÓÚÄý¾ÛÏà·´Ó¦Ìåϵ»ò¶¨Èݵķ´Ó¦Ç°ºóÆøÌå·Ö×ÓÊý²»±äµÄ·´Ó¦£¬·´Ó¦Ç°ºóµÄÌå»ý±ä»¯Á¿ÎªÁã¡£ |
2Â¥2016-09-19 11:27:34














»Ø¸´´ËÂ¥