| 查看: 1916 | 回复: 15 | |||
fgfgfggfgjj新虫 (小有名气)
|
[求助]
凝聚态△S,△H问题 已有1人参与
|
||
|
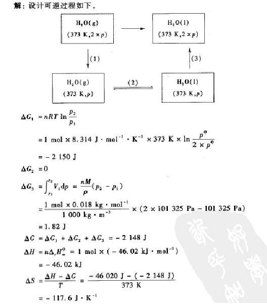
如题,既然题目已经给了密度,△G应该就应该用v△p计算,不知道熵和晗是不是为零。还有功的求算,简单pvT变化的热应该<相变热,过程热直接等于相变热了,然后△H=γ△U,求出内能变,减去Q,就是功了,不知道这样的思路对不对,这还是有一个问题,就是相变不能用△H=γ△U了吧,好多纠结的问题。求解答 发自小木虫Android客户端 |
» 收录本帖的淘帖专辑推荐
谷老师解答热力学专题 |
» 猜你喜欢
生物医学材料前沿科普:低密度、高孔隙率的“多孔微球”核心技术与应用全景
已经有1人回复
湖南工业大学周贵寅组招生物医学工程(学硕07、08都行)、生物与医药(专硕08)硕士生
已经有0人回复
有机高分子材料论文润色/翻译怎么收费?
已经有210人回复
湖南工业大学周贵寅组招生物医学工程(学硕07、08都行)和生物与医药(专硕08)硕士生
已经有0人回复
考研求调剂
已经有0人回复
2026年中南民族大学化学与材料科学学院调剂公告
已经有40人回复
武汉纺织大学招生物材料、化学、高分子相关专业硕士生
已经有0人回复
武汉纺织大学招生物材料、化学、高分子相关专业硕士生-另有少量士兵计划可咨询
已经有0人回复
[武汉纺织大学]材料学院[姜伟团队名称]课题组-2026年硕士研究生调剂信息
已经有0人回复
中国科学院·过程工程研究所·招聘海内外高层次人才---过程所“百人计划”
已经有0人回复
中国科学院·过程工程研究所·招聘海内外高层次人才---过程所“百人计划”
已经有4人回复
谷中明
至尊木虫 (著名写手)
- ICEPI: 19
- 应助: 1264 (讲师)
- 贵宾: 0.482
- 金币: 24134.7
- 红花: 182
- 帖子: 2913
- 在线: 1911.3小时
- 虫号: 1883403
- 注册: 2012-07-08
- 性别: GG
- 专业: 热力学
4楼2016-06-19 16:00:43
谷中明
至尊木虫 (著名写手)
- ICEPI: 19
- 应助: 1264 (讲师)
- 贵宾: 0.482
- 金币: 24134.7
- 红花: 182
- 帖子: 2913
- 在线: 1911.3小时
- 虫号: 1883403
- 注册: 2012-07-08
- 性别: GG
- 专业: 热力学
8楼2016-06-19 17:10:53
fgfgfggfgjj
新虫 (小有名气)
- 应助: 1 (幼儿园)
- 金币: 0.2
- 散金: 30
- 红花: 1
- 帖子: 176
- 在线: 48.9小时
- 虫号: 4063878
- 注册: 2015-09-10
- 专业: 电化学
2楼2016-06-19 14:37:58
fgfgfggfgjj
新虫 (小有名气)
- 应助: 1 (幼儿园)
- 金币: 0.2
- 散金: 30
- 红花: 1
- 帖子: 176
- 在线: 48.9小时
- 虫号: 4063878
- 注册: 2015-09-10
- 专业: 电化学
3楼2016-06-19 14:45:32
fgfgfggfgjj
新虫 (小有名气)
- 应助: 1 (幼儿园)
- 金币: 0.2
- 散金: 30
- 红花: 1
- 帖子: 176
- 在线: 48.9小时
- 虫号: 4063878
- 注册: 2015-09-10
- 专业: 电化学
|
谢谢,思路清楚了不少,但还有点疑问,这题还要求功和内能变,我想的是依据△H=γ△U,得到△U,简单PVT热没有相变热大,Q=n△H(相变),两者相减即得功,但是这是相变过程,△H=γ△U就不适用了吧, 发自小木虫Android客户端 |
5楼2016-06-19 16:44:42
谷中明
至尊木虫 (著名写手)
- ICEPI: 19
- 应助: 1264 (讲师)
- 贵宾: 0.482
- 金币: 24134.7
- 红花: 182
- 帖子: 2913
- 在线: 1911.3小时
- 虫号: 1883403
- 注册: 2012-07-08
- 性别: GG
- 专业: 热力学
6楼2016-06-19 16:58:32
fgfgfggfgjj
新虫 (小有名气)
- 应助: 1 (幼儿园)
- 金币: 0.2
- 散金: 30
- 红花: 1
- 帖子: 176
- 在线: 48.9小时
- 虫号: 4063878
- 注册: 2015-09-10
- 专业: 电化学
|
题意说了水蒸汽是理想气体,用定义式U=Q+W,两个未知量(U,W)。印永嘉书上写:变温过程中如果有相变化时,则热的求算应分段进行,并加上相变热。这题是定温定压相变。 发自小木虫Android客户端 |
7楼2016-06-19 17:06:34
fgfgfggfgjj
新虫 (小有名气)
- 应助: 1 (幼儿园)
- 金币: 0.2
- 散金: 30
- 红花: 1
- 帖子: 176
- 在线: 48.9小时
- 虫号: 4063878
- 注册: 2015-09-10
- 专业: 电化学
9楼2016-06-19 17:44:34
fgfgfggfgjj
新虫 (小有名气)
- 应助: 1 (幼儿园)
- 金币: 0.2
- 散金: 30
- 红花: 1
- 帖子: 176
- 在线: 48.9小时
- 虫号: 4063878
- 注册: 2015-09-10
- 专业: 电化学
|
谷老师,不好意思,我又觉得有点疑问。因为这是始终态压力相等,题意没有说是什么过程。比如说真空膨胀,我看有一题是真空膨胀条件始终态温度压力相等的冷凝。设计的过程只有相变是定压,其余的是定温变压,这题难的是不是定压变温,如果是这样的话,就可以用热容公式求了。这题热功求算好难那, 发自小木虫Android客户端 |
10楼2016-06-20 07:06:21














回复此楼