²é¿´: 919  |  »Ø¸´: 11

xujiaj

гæ (³õÈëÎÄ̳)

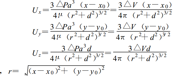
VÊÇÇòÌåÌå»ý£¬°ë¾¶ÊÇr,·ÑÐÄÁË
³õѧÕßÇóÖú
¹«Ê½.png

11Â¥2016-03-16 19:18:04
ÒÑÔÄ   »Ø¸´´ËÂ¥   ¹Ø×¢TA ¸øTA·¢ÏûÏ¢ ËÍTAºì»¨ TAµÄ»ØÌû

xujiaj

гæ (³õÈëÎÄ̳)

ÒýÓûØÌû:
10Â¥: Originally posted by xujiaj at 2016-03-16 19:09:31
ллÁË¡«ÒòΪ³õ´Î½Ó´¥Ð¡Ä¾³æ£¬ÄǸö½ð±ÒÔõô¸ø°¡
...

Ã÷°×ÁË£¬Ð»Ð»¡«

·¢×ÔСľ³æAndroid¿Í»§¶Ë
12Â¥2016-03-16 19:42:57
ÒÑÔÄ   »Ø¸´´ËÂ¥   ¹Ø×¢TA ¸øTA·¢ÏûÏ¢ ËÍTAºì»¨ TAµÄ»ØÌû
Ïà¹Ø°æ¿éÌø×ª ÎÒÒª¶©ÔÄÂ¥Ö÷ xujiaj µÄÖ÷Ìâ¸üÐÂ
×î¾ßÈËÆøÈÈÌûÍÆ¼ö [²é¿´È«²¿] ×÷Õß »Ø/¿´ ×îºó·¢±í
[¿¼ÑÐ] Ò»Ö¾Ô¸»ªÄÏʦ´ó 070300£¨»¯Ñ§£©304·ÖÇóµ÷¼Á +3 0703ÎäÜ·»ÛÑ©304 2026-03-18 3/150 2026-03-21 00:48 by JourneyLucky
[¿¼ÑÐ] Ò»Ö¾Ô¸ÖÐÄÏ»¯Ñ§£¨0703£©×Ü·Ö337Çóµ÷¼Á +8 niko- 2026-03-19 9/450 2026-03-20 21:57 by luoyongfeng
[¿¼ÑÐ] Ò»Ö¾Ô¸ÎäÀí²ÄÁϹ¤³Ì348Çóµ÷¼Á +3 £þ^£þ©bº¹ 2026-03-19 4/200 2026-03-20 21:01 by zhukairuo
[¿¼ÑÐ] 279·ÖÇóµ÷¼Á Ò»Ö¾Ô¸211 +10 chaojifeixia 2026-03-19 11/550 2026-03-20 20:32 by JourneyLucky
[¿¼ÑÐ] 085700×ÊÔ´Óë»·¾³308Çóµ÷¼Á +11 īīĮ 2026-03-18 12/600 2026-03-20 19:43 by ¶¡¶¡*
[¿¼ÑÐ] 0703»¯Ñ§µ÷¼Á £¬Áù¼¶Òѹý£¬ÓпÆÑо­Àú +13 êØÎõÙâ 2026-03-15 13/650 2026-03-20 19:35 by Dream007008
[¿¼ÑÐ] ÕÐÊÕµ÷¼Á˶ʿ +4 lidianxing 2026-03-19 12/600 2026-03-20 12:25 by lidianxing
[¿¼ÑÐ] 081700»¯¹¤Ñ§Ë¶µ÷¼Á +3 ¡¾1¡¿ 2026-03-16 3/150 2026-03-19 23:40 by edmund7
[¿¼ÑÐ] 307Çóµ÷¼Á +9 ÀäóÏ123 2026-03-17 9/450 2026-03-19 22:44 by ѧԱ8dgXkO
[¿¼ÑÐ] »¯Ñ§Çóµ÷¼Á +3 ÁÙÔó¾³llllll 2026-03-17 4/200 2026-03-19 13:59 by houyaoxu
[¿¼ÑÐ] Ò»Ö¾Ô¸985£¬±¾¿Æ211£¬0817»¯Ñ§¹¤³ÌÓë¼¼Êõ319Çóµ÷¼Á +10 Liwangman 2026-03-15 10/500 2026-03-19 10:25 by Î޼ʵIJÝÔ­
[¿¼ÑÐ] 344Çóµ÷¼Á +6 knight344 2026-03-16 7/350 2026-03-18 20:13 by walc
[¿¼ÑÐ] 334Çóµ÷¼Á +3 Ö¾´æ¸ßÔ¶ÒâÔÚ»úÐ 2026-03-16 3/150 2026-03-18 08:34 by lm4875102
[¿¼ÑÐ] 268Çóµ÷¼Á +8 Ò»¶¨ÓÐѧÉÏ- 2026-03-14 9/450 2026-03-17 17:47 by laoshidan
[¿¼ÑÐ] 301Çóµ÷¼Á +4 A_JiXing 2026-03-16 4/200 2026-03-17 17:32 by ruiyingmiao
[¿¼ÑÐ] ²ÄÁϹ¤³Ìר˶274Ò»Ö¾Ô¸211Çóµ÷¼Á +6 Ñ¦ÔÆÅô 2026-03-15 6/300 2026-03-17 11:05 by ѧԱh26Tkc
[¿¼ÑÐ] [µ¼Ê¦ÍƼö]Î÷ÄϿƼ¼´óѧ¹ú·À/²ÄÁϵ¼Ê¦ÍƼö +3 ¼â½ÇСºÉ 2026-03-16 6/300 2026-03-16 23:21 by ¼â½ÇСºÉ
[¿¼ÑÐ] 304Çóµ÷¼Á +4 ahbd 2026-03-14 4/200 2026-03-16 16:48 by ÎҵĴ¬Îҵĺ£
[¿¼ÑÐ] Ò»Ö¾Ô¸211 0703·½Ïò310·ÖÇóµ÷¼Á +3 ŬÁ¦·Ü¶·112 2026-03-15 3/150 2026-03-16 16:44 by houyaoxu
[¿¼ÑÐ] 0856ר˶279Çóµ÷¼Á +5 ¼ÓÓͼÓÓÍ£¡? 2026-03-15 5/250 2026-03-15 11:58 by 2020015
ÐÅÏ¢Ìáʾ
ÇëÌî´¦ÀíÒâ¼û