| 查看: 6637 | 回复: 2 | |||
[交流]
BET数据处理中的孔径纵坐标dV/dD怎么算??求大神指点已有2人参与
|
|
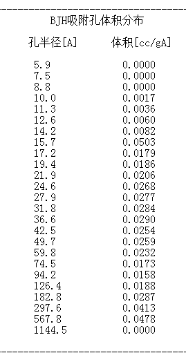
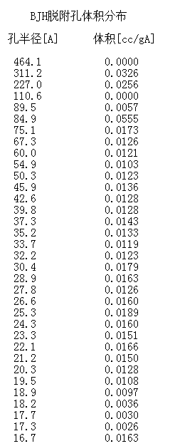
bet做完数据关于孔径的数据就这些,怎么算孔径纵坐标dV/dD啊???求大神额?????谢谢 27S]LZIUBO_EX[]7_54%0C4.png ZGC{XY4[5Y{Q9VRR1T%5AK9.png |
» 猜你喜欢
湖南大学招收锂离子电池、离子液体、高分子与凝胶材料、电催化方向博士生多名
已经有7人回复
双一流大学湘潭大学“化工过程模拟与强化”国家地方联合工程研究中心招收各类博士生
已经有15人回复
化学工程及工业化学论文润色/翻译怎么收费?
已经有111人回复
双一流大学湘潭大学“化工过程模拟与强化”国家地方联合工程研究中心招收各类博士生
已经有10人回复
双一流大学湘潭大学“化工过程模拟与强化”国家地方联合工程研究中心招收各类博士生
已经有21人回复
南京大学蔡亮课题组诚招2026年申请-考核制博士生2-3名(电解水制氢,XAFS谱学等)
已经有32人回复
求助各位大佬配位化学学习教材!!!
已经有0人回复
大连海事大学国家级人才团队2026年博士研究生招生启事
已经有10人回复
内蒙古大学青年长江学者王蕾教授课题组2026年博士招聘,2-3人
已经有11人回复
双一流大学湘潭大学“化工过程模拟与强化”国家地方联合工程研究中心招收各类博士生
已经有22人回复
多相催化-2026年CSC博士及洪堡合作博士后招生!
已经有0人回复
2楼2016-03-01 16:05:26
3楼2019-07-20 20:26:05













回复此楼