| ²é¿´: 2497 | »Ø¸´: 28 | |||||
| µ±Ç°Ö»ÏÔʾÂú×ãÖ¸¶¨Ìõ¼þµÄ»ØÌû£¬µã»÷ÕâÀï²é¿´±¾»°ÌâµÄËùÓлØÌû | |||||
liangyufei0ľ³æ (ÖøÃûдÊÖ)
|
[ÇóÖú]
ÇóÖúMatlabÇúÏßÄâºÏ²ÎÊýÇó½â ÒÑÓÐ3È˲ÎÓë
|
||||
|
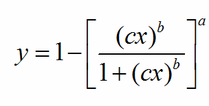
Çó¸÷λ´óÏÀ°ïÖú£¡£¡£¡Ê®·Ö¸Ð¼¤£¡£¡ ÎÊÌâÃèÊöÈçÏ£º ÒÑ֪ʵÑéÊý¾Ýx=[0.0019 0.0031 0.0049 0.0093 0.0168 0.0330]; y=[0.698 0.609 0.520 0.350 0.223 0.130]; ÒªÓú¯Êýhttp://muchongimg.xmcimg.com/data/b ... _1456729728_303.png½øÐÐÄâºÏ£¬ÇóÄâºÏ²ÎÊýa¡¢b¡¢c¡£ ͼƬ1.png |
» ±¾ÌûÒÑ»ñµÃµÄºì»¨£¨×îÐÂ10¶ä£©
» ²ÂÄãϲ»¶
312Çóµ÷¼Á
ÒѾÓÐ12È˻ظ´
ÉúÎïѧѧ˶£¬Ò»Ö¾Ô¸ºþÄÏ´óѧ£¬³õÊԳɼ¨338
ÒѾÓÐ3È˻ظ´
ѧ˶274Çóµ÷¼Á
ÒѾÓÐ3È˻ظ´
279Çóµ÷¼Á
ÒѾÓÐ6È˻ظ´
085701»·¾³¹¤³Ì£¬267Çóµ÷¼Á
ÒѾÓÐ3È˻ظ´
Öйú¿ÆÑ§ÔºÉîÛÚÏȽø¼¼ÊõÑо¿Ôº-¹âÏË´«¸Ð¿ÎÌâ×éÕÐÉú-Öйú¿ÆÑ§Ôº´óѧ¡¢ÉîÛÚÀí¹¤´óѧÁªÅà
ÒѾÓÐ5È˻ظ´
274Çóµ÷¼Á
ÒѾÓÐ20È˻ظ´
265Çóµ÷¼Á
ÒѾÓÐ16È˻ظ´
²ÄÁÏÓ뻯¹¤304ÇóBÇøµ÷¼Á
ÒѾÓÐ6È˻ظ´
321Çóµ÷¼Á
ÒѾÓÐ5È˻ظ´
» ±¾Ö÷ÌâÏà¹Ø¼ÛÖµÌùÍÆ¼ö£¬¶ÔÄúͬÑùÓаïÖú:
ÇóÖúMatlabÖÐÇúÏßÄâºÏʱ³öÏÖµÄÎÊÌ⣬ÇóÖú¸÷λ´óÉñ
ÒѾÓÐ1È˻ظ´
ÇóÖúmatlabд±äÏÞ»ý·Ö
ÒѾÓÐ4È˻ظ´
MatlabÇúÏßÄâºÏÇóÖú
ÒѾÓÐ1È˻ظ´
ÇóÖúMatlabÄâºÏÇúÏß·½³Ì
ÒѾÓÐ2È˻ظ´
matlabÇúÏßÄâºÏ¼°ÐÞÕý
ÒѾÓÐ10È˻ظ´
¸ß·ÖÇóÖú£¬ÓÃMATLABÄ£ÄâÒ»ÇúÏß·½³Ì£¬ÒÑÖªÇúÏßÉÏÉ¢µã
ÒѾÓÐ3È˻ظ´
matlabÇúÏßÄâºÏ ¶ÁÈ¡ÊýÖµ
ÒѾÓÐ1È˻ظ´
ÐüÉͽð±ÒÇóÖúmatlab×Ô¶¨Ò庯ÊýÄâºÏÇúÏß
ÒѾÓÐ0È˻ظ´
ÇóÖúmatlabÄâºÏ¶àά·½³Ì
ÒѾÓÐ4È˻ظ´
ÇóÖúMATLAB»Í¼£¬¶þάÇúÏߣ¬×ÜÊdzö´í£¬ÇóÖú¸ßÊÖ
ÒѾÓÐ3È˻ظ´
matlabÇúÏßÎÊÌ⣬ÇóÖú
ÒѾÓÐ2È˻ظ´
ÇóÖúÓÃmatlab»Ò»¹«Ê½µÄÇúÏß
ÒѾÓÐ1È˻ظ´
ÇóÖúMatlab lsqcurveº¯ÊýÇúÏßÄâºÏ
ÒѾÓÐ3È˻ظ´
ÐÂÊÖÇóÖúmatlabÓ÷¨
ÒѾÓÐ1È˻ظ´
¼±ÇÐÇóÖúÓÃmatlabÇúÏßÄâºÏɫɢ·½³Ì
ÒѾÓÐ10È˻ظ´
¡¾ÇóÖú¡¿matlabÇúÏßÄâºÏËã·¨
ÒѾÓÐ2È˻ظ´
512095518
ר¼Ò¹ËÎÊ (ÕýʽдÊÖ)
-

ר¼Ò¾Ñé: +52 - ·ÂÕæEPI: 1
- Ó¦Öú: 118 (¸ßÖÐÉú)
- ½ð±Ò: 7665.4
- ºì»¨: 78
- Ìû×Ó: 712
- ÔÚÏß: 186.1Сʱ
- ³æºÅ: 3195576
- ×¢²á: 2014-05-10
- ÐÔ±ð: GG
- רҵ: ´óÆø»·¾³ÓëÈ«ÇòÆøºò±ä»¯
- ¹ÜϽ: ¼ÆËãÄ£Äâ
¡¾´ð°¸¡¿Ó¦Öú»ØÌû
¡ï ¡ï ¡ï ¡ï ¡ï ¡ï ¡ï ¡ï ¡ï ¡ï ¡ï ¡ï ¡ï ¡ï ¡ï
liangyufei0: ½ð±Ò+15, ¡ï¡ï¡ï¡ï¡ï×î¼Ñ´ð°¸, ¶àл´óÏÀ£¬½á¹ûºÜºÃ£¡ 2016-03-03 08:53:17
liangyufei0: ½ð±Ò+15, ¡ï¡ï¡ï¡ï¡ï×î¼Ñ´ð°¸, ¶àл´óÏÀ£¬½á¹ûºÜºÃ£¡ 2016-03-03 08:53:17
|
matlabÄâºÏ³Ì¶ÈµÄÑ¡ÔñÓë³õʼֵѡÔñÓкܴóµÄ¹ØÏµ¡£ÎÒ¸Äϳõʼֵ£¬Õâ¸öÄâºÏ³Ì¶È·Ç³£ºÃ¡£ a=0.770311398382774 b=1.02743657844741 c=142.278261696316 clear,clc x=[0.0019 0.0031 0.0049 0.0093 0.0168 0.0330]; y=[0.698 0.609 0.520 0.350 0.223 0.130]; f=@(c,x) (1-((c(3).*x).^c(2)./(1+(c(3).*x).*c(2))).^c(1)); c0=[1 1 100]; c=lsqcurvefit(f,c0,x,y); plot(x,y,'.-',x,f(c,x),'r:x') legend('ÔʼÊý¾Ý','ÄâºÏÊý¾Ý') |

6Â¥2016-03-01 17:09:46
hellosu
ľ³æ (СÓÐÃûÆø)
- Ó¦Öú: 4 (Ó×¶ùÔ°)
- ½ð±Ò: 2527.1
- É¢½ð: 100
- ºì»¨: 1
- ɳ·¢: 3
- Ìû×Ó: 209
- ÔÚÏß: 115.2Сʱ
- ³æºÅ: 3099062
- ×¢²á: 2014-03-29
- ÐÔ±ð: GG
- רҵ: ¹¤³ÌÈÈÎïÀíÓëÄÜÔ´ÀûÓÃ
¡¾´ð°¸¡¿Ó¦Öú»ØÌû
¡ï ¡ï ¡ï ¡ï ¡ï ¡ï ¡ï ¡ï ¡ï ¡ï
¸Ðл²ÎÓ룬ӦÖúÖ¸Êý +1
liangyufei0: ½ð±Ò+10, ¡ï¡ï¡ïºÜÓаïÖú, ºÜÓаïÖú£¬µ«ÉÐδ½â¾ö£¬¶àл£¡ 2016-02-29 16:04:44
¸Ðл²ÎÓ룬ӦÖúÖ¸Êý +1
liangyufei0: ½ð±Ò+10, ¡ï¡ï¡ïºÜÓаïÖú, ºÜÓаïÖú£¬µ«ÉÐδ½â¾ö£¬¶àл£¡ 2016-02-29 16:04:44
|
x=[0.0019 0.0031 0.0049 0.0093 0.0168 0.0330]; y=[0.698 0.609 0.520 0.350 0.223 0.130]; f=@(c,x) 1-((c(3)*x)^c(2)/(1+(c(3)*x)*c(2)))^c(1); c0=[1 1 1]; [c,resnorm]=lsqcurvefit(f,c0,x,y); plot(x,y,'.-',x,f(c,x),'r:x') legend('ÔʼÊý¾Ý','ÄâºÏÊý¾Ý') |
2Â¥2016-02-29 15:40:38
liangyufei0
ľ³æ (ÖøÃûдÊÖ)
- Ó¦Öú: 1 (Ó×¶ùÔ°)
- ½ð±Ò: 4332.8
- ºì»¨: 1
- Ìû×Ó: 1387
- ÔÚÏß: 220Сʱ
- ³æºÅ: 902365
- ×¢²á: 2009-11-13
- רҵ: ÑÒÍÁÓë»ù´¡¹¤³Ì
|
Ê×ÏȸÐлhellosuÓ¦Öú£¡ µ«³ÌÐòÔËÐгöÏÖÈçÏ´íÎó£¬ÐÂÊÖ£¬²»ÖªÈçºÎ½â¾ö£¬»¹Çë¸ßÊÖÔÙ´ÎÏàÖú£¡ ??? Error using ==> mpower Matrix must be square. Error in ==> @(c,x)1-((c(3)*x)^c(2)/(1+(c(3)*x)^c(2)))^c(1) Error in ==> lsqncommon at 152 fuser = funfcn{3}(xargin{:},varargin{:}); Error in ==> lsqcurvefit at 186 [x,Resnorm,FVAL,EXITFLAG,OUTPUT,LAMBDA,JACOB] = ... Caused by: Failure in initial user-supplied objective function evaluation. LSQCURVEFIT cannot continue. |
3Â¥2016-02-29 16:03:15
hellosu
ľ³æ (СÓÐÃûÆø)
- Ó¦Öú: 4 (Ó×¶ùÔ°)
- ½ð±Ò: 2527.1
- É¢½ð: 100
- ºì»¨: 1
- ɳ·¢: 3
- Ìû×Ó: 209
- ÔÚÏß: 115.2Сʱ
- ³æºÅ: 3099062
- ×¢²á: 2014-03-29
- ÐÔ±ð: GG
- רҵ: ¹¤³ÌÈÈÎïÀíÓëÄÜÔ´ÀûÓÃ
|
clear clc x=[0.0019 0.0031 0.0049 0.0093 0.0168 0.0330]; y=[0.698 0.609 0.520 0.350 0.223 0.130]; f=@(c,x) (1-((c(3).*x).^c(2)/(1+(c(3).*x).*c(2))).^c(1)); c0=[1 1 1]; [c,resnorm]=lsqcurvefit(f,c0,x,y); plot(x,y,'.-',x,f(c,x),'r:x') legend('ÔʼÊý¾Ý','ÄâºÏÊý¾Ý') %%%ÕâÑùÔËÐкó»¹Êdzö´í£¬¿ÉÄÜÄãµÄÊý¾ÝµãÌ«ÉÙÁË |
4Â¥2016-02-29 19:46:02













»Ø¸´´ËÂ¥
514741735